
中国水稻科学 ›› 2025, Vol. 39 ›› Issue (6): 825-831.DOI: 10.16819/j.1001-7216.2025.240302
邓欢1,2,#, 刘亚培2,#, 王春连2, 郭威1, 陈析丰1,*(
), 纪志远2,*(
)
收稿日期:2024-03-04
修回日期:2024-04-10
出版日期:2025-11-10
发布日期:2025-11-19
通讯作者:
* email:jizhiyuan@caas.cn;xfchen@zjnu.cn
作者简介:#共同第一作者
基金资助:
DENG Huan1,2,#, LIU Yapei2,#, WANG Chunlian2, GUO Wei1, CHEN Xifeng1,*(
), JI Zhiyuan2,*(
)
Received:2024-03-04
Revised:2024-04-10
Online:2025-11-10
Published:2025-11-19
Contact:
* email:jizhiyuan@caas.cn;xfchen@zjnu.cn
About author:#These authors contributed equally to this paper
摘要:
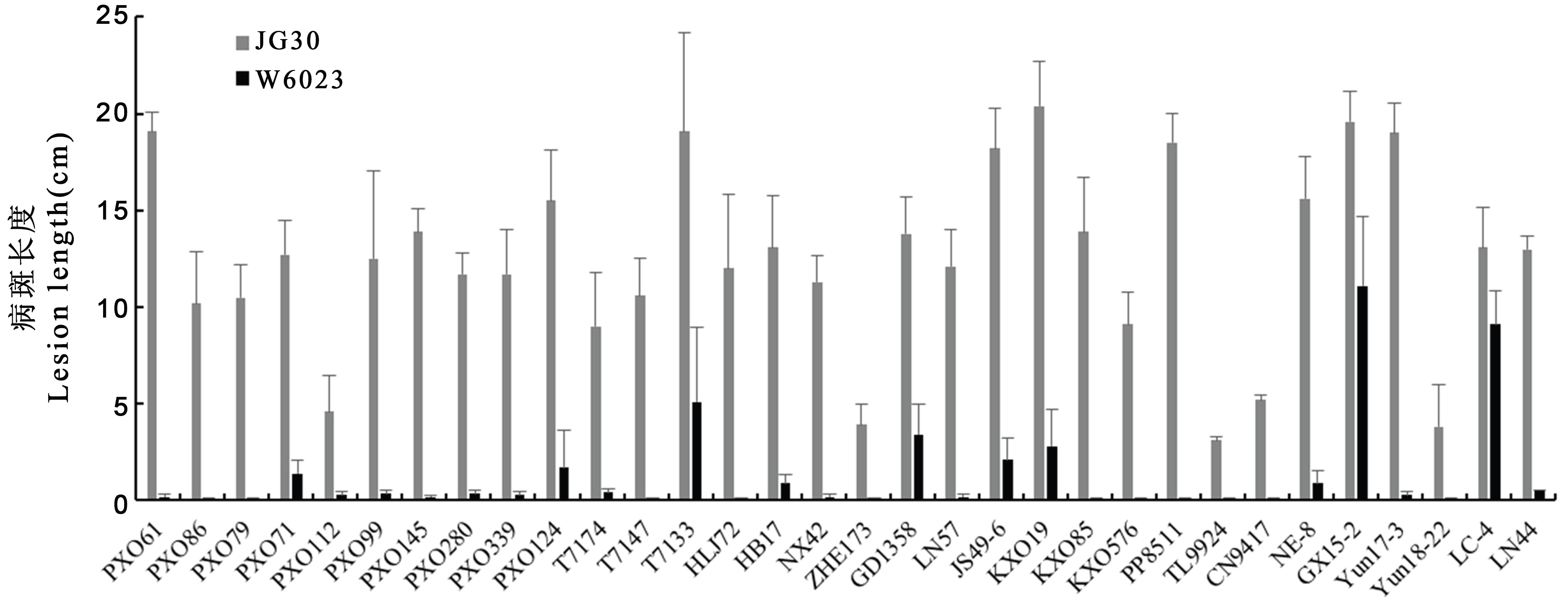
【目的】白叶枯病是水稻生产上的重要病害之一,培育和推广种植抗病品种是防治该病害最理想的措施,而挖掘广谱抗病基因是培育抗病新品种的关键。【方法】野生稻为水稻育种提供了丰富的遗传资源。本研究前期通过普通野生稻(Oryza rufipogon)和籼稻IR24杂交创制了新的野生稻导入系W6023。经抗谱鉴定和遗传群体分析,发现W6023携带一个新的白叶枯病抗性基因,将其暂命名为Xa49(t)。通过构建IR24×W6023的F2群体,运用BSA关联分析,结合新设计的InDel、SNP标记对目标基因Xa49(t)进行初定位。【结果】在水稻11号染色体上鉴定到13个与Xa49(t)基因抗性连锁的分子标记,最终将其定位到D11-111和D11-241间的区域内。【结论】广谱抗白叶枯病新基因Xa49(t)被初步定位于11号染色体968 kb的区间内。
邓欢, 刘亚培, 王春连, 郭威, 陈析丰, 纪志远. 水稻抗白叶枯病新基因Xa49(t)的定位分析[J]. 中国水稻科学, 2025, 39(6): 825-831.
DENG Huan, LIU Yapei, WANG Chunlian, GUO Wei, CHEN Xifeng, JI Zhiyuan. Mapping Analysis of a New Bacterial Blight Resistance Gene Xa49(t) in Rice[J]. Chinese Journal OF Rice Science, 2025, 39(6): 825-831.
| 分子标记 Marker | 正向引物(5′-3′) Forward sequence(5'-3') | 反向引物(5′-3′) Reverse sequence(5'-3') |
|---|---|---|
| D11-44 | CCGGCCCATCTGGCGTAT | TTACAGCACGTTGGTTGGTGG |
| D11-63 | AGAGCTCGTCGCAATGAAGAC | TACTGAGGTCGTGGAAGCATA |
| DM-32 | TTGGTTAGGCTTGGCTGAGTT | TGTCCAGCGTGGTAAGTCAA |
| DM-23 | ACACAAACACACACGCACAC | GCCCTCGTTCCTGTCTGAAT |
| DM-19 | GAGAATTCCTGTTCAGCCGC | ATAGACGCAAACCTGTCGAA |
| DM-22 | ATGGCATCAATTGTCTTACCAGA | GTTTGCGCATAAATCAATGGCT |
| DM-47 | GGAACTGGACAGGGCACTAA | AAAAGCTCCCCAACCAGTCTA |
| D11-86 | TTAGCTGGGGCTTCATGGTG | TTATTTCGCGAAGTGAGCGT |
| D11-111 | GATCACTCGAACACACCCCA | TCTAGCTTCTGGTCAACTGGA |
| D11-241 | GTTTGCTGCACGTTTGGAAATTGTA | TGGACGCAACCAAGATTGAGATTAG |
| DM-49 | AAGAAGGGGTTGGGAGGACAGGA | TTTTAGGATGGATGGAGGGAGTAGTT |
| DM-21 | CAGGGTCGTCTGTTGACTTGA | AAAGGTGGACTTCACTACTTCAG |
| RM206 | CCCATGCGTTTAACTATTCT | CGTTCCATCGATCCGTATGG |
表1 多态性标记的引物序列
Table 1. Primer sequences of polymorphic markers
| 分子标记 Marker | 正向引物(5′-3′) Forward sequence(5'-3') | 反向引物(5′-3′) Reverse sequence(5'-3') |
|---|---|---|
| D11-44 | CCGGCCCATCTGGCGTAT | TTACAGCACGTTGGTTGGTGG |
| D11-63 | AGAGCTCGTCGCAATGAAGAC | TACTGAGGTCGTGGAAGCATA |
| DM-32 | TTGGTTAGGCTTGGCTGAGTT | TGTCCAGCGTGGTAAGTCAA |
| DM-23 | ACACAAACACACACGCACAC | GCCCTCGTTCCTGTCTGAAT |
| DM-19 | GAGAATTCCTGTTCAGCCGC | ATAGACGCAAACCTGTCGAA |
| DM-22 | ATGGCATCAATTGTCTTACCAGA | GTTTGCGCATAAATCAATGGCT |
| DM-47 | GGAACTGGACAGGGCACTAA | AAAAGCTCCCCAACCAGTCTA |
| D11-86 | TTAGCTGGGGCTTCATGGTG | TTATTTCGCGAAGTGAGCGT |
| D11-111 | GATCACTCGAACACACCCCA | TCTAGCTTCTGGTCAACTGGA |
| D11-241 | GTTTGCTGCACGTTTGGAAATTGTA | TGGACGCAACCAAGATTGAGATTAG |
| DM-49 | AAGAAGGGGTTGGGAGGACAGGA | TTTTAGGATGGATGGAGGGAGTAGTT |
| DM-21 | CAGGGTCGTCTGTTGACTTGA | AAAGGTGGACTTCACTACTTCAG |
| RM206 | CCCATGCGTTTAACTATTCT | CGTTCCATCGATCCGTATGG |
| 染色体 Chromosome | InDel数量统计 Number of InDels | SNP数量统计 Number of SNPs | ||||
|---|---|---|---|---|---|---|
| W6023 | IR24 | 数量差异 Number difference | W6023 | IR24 | 数量差异 Number difference | |
| 1 | 19253 | 18884 | 369 | 99700 | 95077 | 4623 |
| 2 | 20470 | 17668 | 2802 | 106847 | 94020 | 12827 |
| 3 | 19996 | 18814 | 1182 | 120824 | 112238 | 8586 |
| 4 | 20572 | 19919 | 653 | 127633 | 121200 | 6433 |
| 5 | 16295 | 15899 | 396 | 91499 | 86317 | 5182 |
| 6 | 17177 | 16194 | 983 | 109677 | 102539 | 7138 |
| 7 | 13396 | 13166 | 230 | 80035 | 75642 | 4393 |
| 8 | 20350 | 19650 | 700 | 97587 | 91635 | 5952 |
| 9 | 12132 | 11995 | 137 | 75786 | 72198 | 3588 |
| 10 | 10979 | 10485 | 494 | 69212 | 64740 | 4472 |
| 11 | 32866 | 21628 | 11238 | 196259 | 119864 | 76395 |
| 12 | 18950 | 17922 | 1028 | 113225 | 104302 | 8923 |
| 线粒体ChrM | 9 | 9 | 0 | 30 | 27 | 3 |
| 叶绿体ChrC | 27 | 27 | 0 | 45 | 48 | −3 |
表2 两亲本的InDel和SNP的结果统计
Table 2. Statistics of InDel and SNP of W6023 and IR24
| 染色体 Chromosome | InDel数量统计 Number of InDels | SNP数量统计 Number of SNPs | ||||
|---|---|---|---|---|---|---|
| W6023 | IR24 | 数量差异 Number difference | W6023 | IR24 | 数量差异 Number difference | |
| 1 | 19253 | 18884 | 369 | 99700 | 95077 | 4623 |
| 2 | 20470 | 17668 | 2802 | 106847 | 94020 | 12827 |
| 3 | 19996 | 18814 | 1182 | 120824 | 112238 | 8586 |
| 4 | 20572 | 19919 | 653 | 127633 | 121200 | 6433 |
| 5 | 16295 | 15899 | 396 | 91499 | 86317 | 5182 |
| 6 | 17177 | 16194 | 983 | 109677 | 102539 | 7138 |
| 7 | 13396 | 13166 | 230 | 80035 | 75642 | 4393 |
| 8 | 20350 | 19650 | 700 | 97587 | 91635 | 5952 |
| 9 | 12132 | 11995 | 137 | 75786 | 72198 | 3588 |
| 10 | 10979 | 10485 | 494 | 69212 | 64740 | 4472 |
| 11 | 32866 | 21628 | 11238 | 196259 | 119864 | 76395 |
| 12 | 18950 | 17922 | 1028 | 113225 | 104302 | 8923 |
| 线粒体ChrM | 9 | 9 | 0 | 30 | 27 | 3 |
| 叶绿体ChrC | 27 | 27 | 0 | 45 | 48 | −3 |
| 重组单株 Recombinant individuals | 分子标记 Marker | ||||||||||||
|---|---|---|---|---|---|---|---|---|---|---|---|---|---|
| D11-44 | D11-63 | DM-32 | DM-23 | DM-19 | DM-22 | DM-47 | D11-86 | D11-111 | D11-241 | DM-49 | DM-21 | DM-9 | |
| 18-4 | H | S | S | S | S | S | S | S | S | S | S | S | S |
| 29-10 | H | H | H | H | H | S | S | S | S | S | S | S | S |
| 42-2 | H | H | H | H | H | H | H | H | H | S | S | S | S |
| 46-10 | H | H | H | H | H | H | H | H | H | S | S | S | S |
| 48-2 | H | H | H | H | H | H | H | H | H | S | S | S | S |
| 51-6 | H | H | H | H | H | H | H | H | H | S | S | S | S |
| 55-6 | H | H | H | H | H | H | H | H | H | S | S | S | S |
| 45-9 | H | H | H | H | H | H | H | H | H | S | S | S | S |
| 18-2 | H | H | H | H | H | H | H | H | H | S | S | S | S |
| 7-4 | S | S | S | S | S | S | S | S | S | H | H | H | H |
| 15-4 | S | S | S | S | S | S | S | S | S | H | H | H | H |
| 31-7 | S | S | S | S | S | S | S | S | S | H | H | H | H |
| 34-7 | S | S | S | S | S | S | S | S | S | H | H | H | H |
| 39-5 | S | S | S | S | S | S | S | S | S | H | H | H | H |
| 54-3 | S | S | S | S | S | S | S | S | S | H | H | H | H |
| 47-8 | S | S | S | S | S | S | S | S | S | H | H | H | H |
| 53-3 | S | S | S | S | S | S | S | S | S | H | H | H | H |
| 52-1 | S | S | S | S | S | S | S | S | S | H | H | H | H |
| 53-5 | S | S | S | S | S | S | S | S | S | S | H | H | H |
| 重组单株数Number | 9 | 8 | 8 | 8 | 8 | 7 | 7 | 7 | 7 | 9 | 10 | 10 | 10 |
表3 重组单株分子标记带型
Table 3. Molecular marker genotypes of recombinant individuals
| 重组单株 Recombinant individuals | 分子标记 Marker | ||||||||||||
|---|---|---|---|---|---|---|---|---|---|---|---|---|---|
| D11-44 | D11-63 | DM-32 | DM-23 | DM-19 | DM-22 | DM-47 | D11-86 | D11-111 | D11-241 | DM-49 | DM-21 | DM-9 | |
| 18-4 | H | S | S | S | S | S | S | S | S | S | S | S | S |
| 29-10 | H | H | H | H | H | S | S | S | S | S | S | S | S |
| 42-2 | H | H | H | H | H | H | H | H | H | S | S | S | S |
| 46-10 | H | H | H | H | H | H | H | H | H | S | S | S | S |
| 48-2 | H | H | H | H | H | H | H | H | H | S | S | S | S |
| 51-6 | H | H | H | H | H | H | H | H | H | S | S | S | S |
| 55-6 | H | H | H | H | H | H | H | H | H | S | S | S | S |
| 45-9 | H | H | H | H | H | H | H | H | H | S | S | S | S |
| 18-2 | H | H | H | H | H | H | H | H | H | S | S | S | S |
| 7-4 | S | S | S | S | S | S | S | S | S | H | H | H | H |
| 15-4 | S | S | S | S | S | S | S | S | S | H | H | H | H |
| 31-7 | S | S | S | S | S | S | S | S | S | H | H | H | H |
| 34-7 | S | S | S | S | S | S | S | S | S | H | H | H | H |
| 39-5 | S | S | S | S | S | S | S | S | S | H | H | H | H |
| 54-3 | S | S | S | S | S | S | S | S | S | H | H | H | H |
| 47-8 | S | S | S | S | S | S | S | S | S | H | H | H | H |
| 53-3 | S | S | S | S | S | S | S | S | S | H | H | H | H |
| 52-1 | S | S | S | S | S | S | S | S | S | H | H | H | H |
| 53-5 | S | S | S | S | S | S | S | S | S | S | H | H | H |
| 重组单株数Number | 9 | 8 | 8 | 8 | 8 | 7 | 7 | 7 | 7 | 9 | 10 | 10 | 10 |
图3 水稻抗白叶枯病基因Xa49(t)的定位分析 A:Xa49(t)被定位到D11-111和D11-241之间的约968 kb区域内;标记下方数字代表重组单株个数。B:利用标记DM-22和DM-21对F2单株进行基因型鉴定的结果。
Fig. 3. Mapping analysis of bacterial blight resistance gene Xa49(t) in rice A, Xa49(t) was mapped to the ~968 kb genomic region between molecular markers D11-111 and D11-241 on chromosome 11; The numbers below the markers indicate the number of recombinants. B, Amplification results of F2 plants by molecular markers DM-22 and DM-21.
| [1] | Ji Z Y, Wang C L, Zhao K J. Rice routes of countering Xanthomonas oryzae[J]. International Journal of Molecular Sciences, 2018, 19(10): 3008. |
| [2] | 陈功友, 徐正银, 杨阳阳, 邹丽芳, 朱勃. 我国水稻白叶枯病菌致病型划分和水稻抗病育种中应注意的问题[J]. 上海交通大学学报: 农业科学版, 2019, 37(1): 67-73. |
| Chen G Y, Xu Z Y, Yang Y Y, Zou L F, Zhu B. Classification of pathotypes of Chinese Xanthomonas oryzae pv. oryzae and resistance breeding strategies for bacterial blight [J]. Journal of Shanghai Jiaotong University: Agricultural Science, 2019, 37(1): 67-73. (in Chinese with English abstract) | |
| [3] | Hou Y X, Liang Y, Yang C D, Ji Z J, Zeng Y X, Li G H, Complete genomic sequence of Xanthomonas oryzae pv. oryzae strain, LA20, for studying resurgence of rice bacterial blight in the Yangtze River region, China[J]. International Journal of Molecular Sciences, 2023, 24(9): 8132. |
| [4] | Jiang N, Yan J, Liang Y, Shi Y L, He Z Z, Wu Y T, Zeng Q, Liu X L, Peng J H. Resistance genes and their interactions with bacterial blight/leaf streak pathogens (Xanthomonas oryzae) in rice (Oryza sativa L.): An updated review[J]. Rice, 2020, 13(1): 3. |
| [5] | Sinha P, Kumar T D, Sk H, Solanki M, Gokulan C G, Das A, Miriyala A, Gonuguntala R, Elumalai P, Kousik M B V N, Masthani S K, Kumboju C, Arra Y, Laha G S, Chirravuri N N, Patel H K, Ghazi I A, Kim S R, Jena K K, Hanumanth S R, Oliva R, Mangrauthia S K, Sundaram R M. Fine mapping and sequence analysis reveal a promising candidate gene encoding a novel NB-ARC domain derived from wild rice (Oryza officinalis) that confers bacterial blight resistance[J]. Frontiers in Plant Science, 2023, 14: 1173063. |
| [6] | Wang M X, Li S F, Li H Y, Song C F, Xie W Y, Zuo S M, Zhou X P, Zhou C Y, Ji Z Y, Zhou H B. Genome editing of a dominant resistance gene for broad-spectrum resistance to bacterial diseases in rice without growth penalty[J]. Plant Biotechnology Journal, 2024, 22(3): 529-531. |
| [7] | Shen S, Xu S B, Wang M G, Ma T Z, Chen N, Wang J G, Zheng H L, Yang L M, Zou D T, Xin W, Liu H L. BSA-Seq for the identification of major genes for EPN in rice[J]. International Journal of Molecular Sciences, 2023, 24(19): 14838. |
| [8] | Wang C L, Zhang X P, Fan Y L, Gao Y, Zhu Q L, Zheng C K, Qin T F, Li Y Q, Che J Y, Zhang M W, Yang B, Liu Y G, Zhao K J. XA23 is an executor R protein and confers broad-spectrum disease resistance in rice[J]. Molecular Plant, 2015, 8(2): 290-302. |
| [9] | Song W Y, Wang G L, Chen L L, Kim H S, Pi L Y, Holsten T, Gardner J, Wang B, Zhai W X, Zhu L H, Fauquet C, Ronald P. A receptor kinase-Like protein encoded by the rice disease resistance gene, Xa21[J]. Science, 1995, 270(5243): 1804-1806. |
| [10] | Gu K Y, Yang B, Tian D S, Wu L F, Wang D J, Sreekala C, Yang F, Chu Z Q, Wang G L, White F F, Yin Z C. R gene expression induced by a type-III effector triggers disease resistance in rice[J]. Nature, 2005, 435(7045): 1122-1125. |
| [11] | Hutin M, Sabot F, Ghesquière A, Koebnik R, Szurek B. A knowledge-based molecular screen uncovers a broad-spectrum OsSWEET14 resistance allele to bacterial blight from wild rice[J]. The Plant Journal, 2015, 84(4): 694-703. |
| [12] | Lu Y D, Zhong Q F, Xiao S Q, Wang B, Ke X, Zhang Y, Yin F Y, Zhang D Y, Jiang C, Liu L, Li J L, Yu T Q, Wang L X, Cheng Z Q, Chen L. A new NLR disease resistance gene Xa47 confers durable and broad-spectrum resistance to bacterial blight in rice[J]. Frontiers in Plant Science, 2022, 13: 1037901. |
| [13] | Ji C H, Ji Z Y, Liu B, Cheng H, Liu H, Liu S Z, Yang B, Chen G Y. Xa1 allelic R genes activate rice blight resistance suppressed by interfering TAL effectors[J]. Plant Communications, 2020, 1(4): 100087. |
| [14] | Hue T N, Quang H V, Tan V M, Thu T N, Lam D V, Tung T N, Long V N, Hien T T V, Hue T N, Trung N D, Nakano T, Liet V V. Marker-assisted selection of Xa21 conferring resistance to bacterial leaf blight in indica rice cultivar LT2[J]. Rice Science, 2018, 25 (1): 52-56. |
| [15] | Wang S G, Liu W, Lu D B, Lu Z H, Wang X F, Xue J, He X Y. Distribution of bacterial blight resistance genes in the main cultivars and application of Xa23 in rice breeding[J]. Frontiers in Plant Science, 2020, 11: 555228. |
| [16] | 谭光轩, 任翔, 翁清妹, 时振英, 祝莉莉, 何光存. 药用野生稻转育后代一个抗白叶枯病新基因的定位[J]. 遗传学报, 2004, 31(7): 724-729. |
| Tan G X, Ren X, Weng Q M, Shi Z Y, Zhu L L, He G C. Mapping of a new resistance gene to bacterial blight in rice line introgressed from Oryza officinalis[J]. Acta Genetica Sinica, 2004, 31(7): 724-729. (in Chinese with English abstract) | |
| [17] | 黄佳男, 王长春, 胡海涛, 马伯军, 严成其, 杨玲. 疣粒野生稻抗白叶枯病新基因的初步鉴定[J]. 中国水稻科学, 2008, 22(1): 33-37. |
| Huang J N, Wang C C, Hu H T, Ma B J, Yan C Q, Yang L. Primary identification of a new resistance gene to bacterial blight from Oryza meyeriana[J]. Rice Science, 2008, 22(1): 33-37. (in Chinese with English abstract) | |
| [18] | 张明伟, 徐飞飞, 郝巍, 王春连, 赵开军. 野生稻基因导入系W6023对白叶枯菌的抗谱及转录组差异表达基因分析[J]. 植物遗传资源学报, 2017, 18(2): 298-309. |
| Zhang M W, Xu F F, Hao W, Wang C L, Zhao K J. Resistance spectrum against Xanthomonas oryzae pv. oryzae and RNA-seq analysis of the introgressions line W6023 derived from cross between Oryza rufipogon and cultivated rice[J]. Journal of Plant Genetic Resources, 2017, 18(2): 298-309. (in Chinese with English abstract) | |
| [19] | 曹杰, 谷勇哲, 洪慧龙, 吴海涛, 张霞, 孙建强, 包立高, 邱丽娟. 大豆红色种皮的色素鉴定和基因定位[J]. 中国农业科学, 2023, 56 (14): 2643-2659. |
| Cao J, Gu Y Z, Hong H L, Wu H T, Zhang X, Sun J Q, Bao L G, Qiu L J. Pigment identification and gene mapping in red seed coat of soybean[J]. Scientia Agricultura Sinica, 2023, 56 (14): 2643-2659. (in Chinese with English abstract) | |
| [20] | 马彩娥, 肖艳红, 柳唐镜, 宫国义, 张洁, 张海英. 西瓜短节间突变体si302表型分析及基因定位[J]. 中国蔬菜, 2023(7): 33-38. |
| Ma C E, Xiao Y H, Liu T J, Gong Y G, Zhang J, Zhang H Y. Phenotype analysis and primary mapping of a short-internode mutant si302 in watermelon[J]. China Vegetables, 2023( 7): 33-38. (in Chinese with English abstract) | |
| [21] | Wang P W, Li Z H, Zhu L, Cheng M Z, Chen X L, Wang A X, Wang C, Zhang X X. Fine mapping and identification of a candidate gene for the glossy green trait in cabbage (Brassica oleracea var. capitata). Plants(Basel), 2023, 12(18): 3340. |
| [1] | 王娟, 吴丽娟, 洪海波, 姚志文, 王磊, 鄂志国. 水稻泛素结合酶E2的生物学功能研究进展[J]. 中国水稻科学, 2025, 39(6): 744-750. |
| [2] | 陶士博, 许娜, 徐正进, 刘畅, 徐铨. 水稻发芽期耐冷基因Cold6的克隆[J]. 中国水稻科学, 2025, 39(6): 751-759. |
| [3] | 陈伟, 叶元妹, 赵剑华, 冯志明, 陈宗祥, 胡珂鸣, 左示敏. 利用CRISPR/Cas9技术改良南粳46抽穗期[J]. 中国水稻科学, 2025, 39(6): 760-770. |
| [4] | 侯桂花, 周立国, 雷建国, 陈虹, 聂元元. 水稻OsRDR5基因功能及作用机制初步解析[J]. 中国水稻科学, 2025, 39(6): 779-788. |
| [5] | 陆帅, 陶涛, 刘冉, 周文玉, 曹蕾, 杨青青, 张明秋, 任鑫哲, 杨芝笛, 徐福祥, 环海东, 龚远航, 张皓程, 金素奎, 蔡秀玲, 高继平, 冷语佳. 水稻长护颖小粒突变体lsg8的表型鉴定与基因克隆[J]. 中国水稻科学, 2025, 39(6): 813-824. |
| [6] | 郝雯倩, 蔡兴菁, 杨海东, 吴宇阳, 滕轩, 薛超, 龚志云. 不同类型组蛋白修饰在水稻响应非生物胁迫中的研究进展[J]. 中国水稻科学, 2025, 39(5): 575-585. |
| [7] | 王镜博, 苏畅, 冯晶, 姜思旭, 徐海, 崔志波, 赵明辉. 水稻OsAlR1基因耐铝性功能研究[J]. 中国水稻科学, 2025, 39(5): 615-623. |
| [8] | 韶也, 胡远艺, 彭彦, 毛毕刚, 刘慧敏, 唐婵娟, 雷斌, 唐丽, 余丽霞, 李文建, 罗武中, 罗治斌, 袁远涛, 李曜魁, 张丹, 周利斌, 柏连阳, 唐文帮, 赵炳然. 基于M1TDS靶向筛选技术的重离子束诱变定向改良杂交水稻卓两优1126性状的研究[J]. 中国水稻科学, 2025, 39(5): 624-634. |
| [9] | 徐群, 王珊, 袁筱萍, 金石桥, 晋芳, 郝万军, 吴小碧, 冯跃, 余汉勇, 孙燕飞, 杨窑龙, 魏兴华. 用于水稻品种真实性验证的SNP位点评价[J]. 中国水稻科学, 2025, 39(5): 635-642. |
| [10] | 张海鹏, 李莞意, 廖福兴, 马美子, 张洪程, 杨艳菊. 纳米钼对水稻根系形态生理和硝态氮吸收的影响[J]. 中国水稻科学, 2025, 39(5): 650-664. |
| [11] | 刘钰婷, 周星, 何辰延, 李秋萍, 艾小凤, 袁玉洁, 刘睿, 杨景文, 刘婷婷, 王丽, 程红, 黄蓉, 李奥运, 胡文, 胡忠, 任万军, 邓飞. 不同光照条件下减穴稳苗配置对水稻茎鞘干物质积累转运特性的影响[J]. 中国水稻科学, 2025, 39(5): 665-678. |
| [12] | 杨行洲, 崔苗苗, 魏利辉, 顾爱国, 李东霞, 乐秀虎, 冯辉. 外源miR3979处理水稻对拟禾本科根结线虫趋性、侵染和发育的影响[J]. 中国水稻科学, 2025, 39(5): 703-710. |
| [13] | 朱鹏, 凌溪铁, 王金彦, 张保龙, 杨郁文, 许轲, 裘实. 机直播条件下不同控草方式对抗除草剂水稻产量和品质差异性研究[J]. 中国水稻科学, 2025, 39(4): 501-515. |
| [14] | 董立强, 张义凯, 杨铁鑫, 冯莹莹, 马亮, 梁潇, 张玉屏, 李跃东. 北方粳稻密苗机插育秧对秧苗素质及取秧特性的影响[J]. 中国水稻科学, 2025, 39(4): 516-528. |
| [15] | 周洋, 叶凡, 刘立军. 典型促生微生物提高盐胁迫水稻抗性的研究进展[J]. 中国水稻科学, 2025, 39(4): 529-542. |
| 阅读次数 | ||||||
|
全文 |
|
|||||
|
摘要 |
|
|||||