
中国水稻科学 ›› 2020, Vol. 34 ›› Issue (6): 550-560.DOI: 10.16819/j.1001-7216.2020.0205
陈云1,2, 张亚军2, 张宏路1, 朱安1, 黄健1, 张耗1, 顾骏飞1, 刘立军1,*(
), 杨建昌1
收稿日期:2020-02-18
修回日期:2020-05-05
出版日期:2020-11-10
发布日期:2020-11-10
通讯作者:
刘立军
基金资助:
Yun CHEN1,2, Yajun ZHANG2, Honglu ZHANG1, An ZHU1, Jian HUANG1, Hao ZHANG1, Junfei GU1, Lijun LIU1,*(
), Jianchang YANG1
Received:2020-02-18
Revised:2020-05-05
Online:2020-11-10
Published:2020-11-10
Contact:
Lijun LIU
摘要: 目的 机插密度对水稻产量和品质有重要影响,但机插株距对优质食味水稻品种产量与群体质量的调控作用尚不清楚。明确优质食味水稻品种的适宜机插株距可为水稻机械化高产优质栽培提供理论与实践依据。方法 以南粳9108、南粳5055和南粳46三个江苏优质食味水稻品种为材料,在机插行距固定为30 cm的情况下,研究了10、12、14、16和18 cm五种株距对上述水稻品种产量和群体质量的影响。结果 南粳9108、南粳5055和南粳46三个水稻品种的茎蘖成穗率、高效叶面积指数、粒叶比(粒重/叶面积)、抽穗后群体冠层净光合速率和抽穗至成熟干物质积累量均在株距为12 cm时最大。上述水稻品种产量均随株距增加呈现先增加先减少的趋势,产量与株距呈二次曲线关系。依据曲线方程计算出两年中南粳9108、南粳5055和南粳46高产最适株距分别为11.6 cm,11.6~12.3 cm和10.8~11.4 cm。结论 机插秧行距固定为30 cm时,11~12 cm的株距有利于改善优质食味水稻的群体质量指标并提高其产量,可作为江苏省代表性优质食味水稻品种的适宜机插株距。
中图分类号:
陈云, 张亚军, 张宏路, 朱安, 黄健, 张耗, 顾骏飞, 刘立军, 杨建昌. 机插株距对优质食味水稻品种产量和群体质量的影响[J]. 中国水稻科学, 2020, 34(6): 550-560.
Yun CHEN, Yajun ZHANG, Honglu ZHANG, An ZHU, Jian HUANG, Hao ZHANG, Junfei GU, Lijun LIU, Jianchang YANG. Effects of Plant Spacing on Grain Yield and Population Quality in Mechanically-transplantedRice with Good Tasting Quality[J]. Chinese Journal OF Rice Science, 2020, 34(6): 550-560.
| 年份 Year | 品种 Cultivar | 株距 Plant spacing/cm | 单位面积穗数 Panicle no./(×104·hm-2) | 每穗粒数 Spikelet number per panicle | 结实率 Seed-setting rate/% | 千粒重 1000-grain weight/g |
|---|---|---|---|---|---|---|
| 2017 | 南粳9108 | 10 | 396.8 a | 116.5 b | 85.8 a | 26.9 a |
| Nanjing 9108 | 12 | 403.1 a | 120.8 ab | 86.2 a | 27.0 a | |
| 14 | 371.4 b | 121.7 ab | 85.6 a | 27.2 a | ||
| 16 | 342.8 c | 123.1 a | 84.6 a | 27.5 a | ||
| 18 | 317.5 d | 125.8 a | 82.3 a | 27.3 a | ||
| 南粳5055 | 10 | 407.5 a | 114.4 c | 85.1 a | 25.7 a | |
| Nanjing 5055 | 12 | 414.3 a | 117.6 bc | 85.4 a | 25.8 a | |
| 14 | 382.7 b | 120.2 ab | 84.8 a | 26.2 a | ||
| 16 | 367.4 b | 122.7 ab | 83.8 a | 26.2 a | ||
| 18 | 333.5 c | 125.1 a | 83.2 a | 26.3 a | ||
| 南粳46 | 10 | 410.8 a | 110.3 c | 85.2 a | 25.2 a | |
| Nanjing 46 | 12 | 405.2 a | 115.5 bc | 85.4 a | 25.3 a | |
| 14 | 373.5 b | 118.4 ab | 84.7 a | 25.5 a | ||
| 16 | 353.2 c | 121.1 ab | 83.0 a | 25.7 a | ||
| 18 | 335.7 d | 121.9 a | 81.8 a | 25.6 a | ||
| 2018 | 南粳9108 | 10 | 404.4 a | 114.5 c | 86.6 ab | 26.9 a |
| Nanjing 9108 | 12 | 407.4 a | 117.3 bc | 87.0 a | 27.2 a | |
| 14 | 381.0 b | 120.3 ab | 85.5 ab | 27.3 a | ||
| 16 | 354.1 c | 122.7 ab | 84.4 ab | 27.4 a | ||
| 18 | 326.0 d | 123.7 a | 83.7 b | 27.7 a | ||
| 南粳5055 | 10 | 419.9 a | 110.8 b | 85.9 a | 25.6 a | |
| Nanjing 5055 | 12 | 426.0 a | 111.3 b | 86.1 a | 26.3 a | |
| 14 | 398.4 b | 112.4 ab | 85.3 a | 26.5 a | ||
| 16 | 370.8 c | 115.3 ab | 84.6 a | 26.7 a | ||
| 18 | 337.1 d | 118.8 a | 83.9 a | 26.8 a | ||
| 南粳46 | 10 | 419.9 a | 106.9 c | 85.9 a | 25.3 a | |
| Nanjing 46 | 12 | 413.0 a | 111.9 bc | 86.2 a | 25.4 a | |
| 14 | 380.9 b | 113.6 ab | 85.2 ab | 25.7 a | ||
| 16 | 363.8 c | 116.7 ab | 84.1 ab | 25.8 a | ||
| 18 | 348.2 d | 119.3 a | 81.5 b | 26.2 a |
表1 机插株距对不同优质食味水稻品种产量构成因素的影响
Table 1 Effect of plant spacing on yield components in mechanical transplanting rice with good tasting.
| 年份 Year | 品种 Cultivar | 株距 Plant spacing/cm | 单位面积穗数 Panicle no./(×104·hm-2) | 每穗粒数 Spikelet number per panicle | 结实率 Seed-setting rate/% | 千粒重 1000-grain weight/g |
|---|---|---|---|---|---|---|
| 2017 | 南粳9108 | 10 | 396.8 a | 116.5 b | 85.8 a | 26.9 a |
| Nanjing 9108 | 12 | 403.1 a | 120.8 ab | 86.2 a | 27.0 a | |
| 14 | 371.4 b | 121.7 ab | 85.6 a | 27.2 a | ||
| 16 | 342.8 c | 123.1 a | 84.6 a | 27.5 a | ||
| 18 | 317.5 d | 125.8 a | 82.3 a | 27.3 a | ||
| 南粳5055 | 10 | 407.5 a | 114.4 c | 85.1 a | 25.7 a | |
| Nanjing 5055 | 12 | 414.3 a | 117.6 bc | 85.4 a | 25.8 a | |
| 14 | 382.7 b | 120.2 ab | 84.8 a | 26.2 a | ||
| 16 | 367.4 b | 122.7 ab | 83.8 a | 26.2 a | ||
| 18 | 333.5 c | 125.1 a | 83.2 a | 26.3 a | ||
| 南粳46 | 10 | 410.8 a | 110.3 c | 85.2 a | 25.2 a | |
| Nanjing 46 | 12 | 405.2 a | 115.5 bc | 85.4 a | 25.3 a | |
| 14 | 373.5 b | 118.4 ab | 84.7 a | 25.5 a | ||
| 16 | 353.2 c | 121.1 ab | 83.0 a | 25.7 a | ||
| 18 | 335.7 d | 121.9 a | 81.8 a | 25.6 a | ||
| 2018 | 南粳9108 | 10 | 404.4 a | 114.5 c | 86.6 ab | 26.9 a |
| Nanjing 9108 | 12 | 407.4 a | 117.3 bc | 87.0 a | 27.2 a | |
| 14 | 381.0 b | 120.3 ab | 85.5 ab | 27.3 a | ||
| 16 | 354.1 c | 122.7 ab | 84.4 ab | 27.4 a | ||
| 18 | 326.0 d | 123.7 a | 83.7 b | 27.7 a | ||
| 南粳5055 | 10 | 419.9 a | 110.8 b | 85.9 a | 25.6 a | |
| Nanjing 5055 | 12 | 426.0 a | 111.3 b | 86.1 a | 26.3 a | |
| 14 | 398.4 b | 112.4 ab | 85.3 a | 26.5 a | ||
| 16 | 370.8 c | 115.3 ab | 84.6 a | 26.7 a | ||
| 18 | 337.1 d | 118.8 a | 83.9 a | 26.8 a | ||
| 南粳46 | 10 | 419.9 a | 106.9 c | 85.9 a | 25.3 a | |
| Nanjing 46 | 12 | 413.0 a | 111.9 bc | 86.2 a | 25.4 a | |
| 14 | 380.9 b | 113.6 ab | 85.2 ab | 25.7 a | ||
| 16 | 363.8 c | 116.7 ab | 84.1 ab | 25.8 a | ||
| 18 | 348.2 d | 119.3 a | 81.5 b | 26.2 a |
| 年份 Year | 品种 Cultivar | 株距(x, cm)与产量(y, kg/hm2)方程 Equation between plant spacing (x, cm) and yield (y, kg/hm2) | R2 | xopt /cm | ymax /(kg·hm-2) |
|---|---|---|---|---|---|
| 2017 | 南粳9108 Nanjing 9108 | y=-52.0x2+1210.5x+3922.9 | 0.9303 | 11.6 | 10967.6 |
| 南粳5055 Nanjing 5055 | y =-43.3x2+1063.1x+3979.7 | 0.9368 | 12.3 | 10504.9 | |
| 南粳46 Nanjing 46 | y =-31.1x2+706.0x+5881.1 | 0.9342 | 11.4 | 9887.6 | |
| 2018 | 南粳9108 Nanjing 9108 | y =-47.9x2+1114.1x+4592.9 | 0.9310 | 11.6 | 11071.0 |
| 南粳5055 Nanjing 5055 | y =-36.6x2+851.5x+5408.9 | 0.9773 | 11.6 | 10445.9 | |
| 南粳46 Nanjing 46 | y =-30.0x2+650.0x+6574.1 | 0.9669 | 10.8 | 10094.9 |
表2 优质食味水稻品种获得最高产量时的机插株距
Table 2 Optimal plant spacing and the corresponding grain yield in mechanically transplanted rice with good tasting.
| 年份 Year | 品种 Cultivar | 株距(x, cm)与产量(y, kg/hm2)方程 Equation between plant spacing (x, cm) and yield (y, kg/hm2) | R2 | xopt /cm | ymax /(kg·hm-2) |
|---|---|---|---|---|---|
| 2017 | 南粳9108 Nanjing 9108 | y=-52.0x2+1210.5x+3922.9 | 0.9303 | 11.6 | 10967.6 |
| 南粳5055 Nanjing 5055 | y =-43.3x2+1063.1x+3979.7 | 0.9368 | 12.3 | 10504.9 | |
| 南粳46 Nanjing 46 | y =-31.1x2+706.0x+5881.1 | 0.9342 | 11.4 | 9887.6 | |
| 2018 | 南粳9108 Nanjing 9108 | y =-47.9x2+1114.1x+4592.9 | 0.9310 | 11.6 | 11071.0 |
| 南粳5055 Nanjing 5055 | y =-36.6x2+851.5x+5408.9 | 0.9773 | 11.6 | 10445.9 | |
| 南粳46 Nanjing 46 | y =-30.0x2+650.0x+6574.1 | 0.9669 | 10.8 | 10094.9 |
图2 机插株距对优质食味水稻品种茎蘖动态的影响10 cm、12 cm、14 cm、16 cm和18 cm分别表示行距为30 cm条件下的株距。下图同。
Fig. 2. Effects of plant spacing on tillering dynamics in mechanically transplanted rice with good tasting. 10 cm,12 cm, 14 cm, 16 cm and 18 cm represent the plant spacing under the fixed row spacing of 30 cm. The same as in figures below.
| 年份 Year | 品种 Cultivar | 株距 Plant spacing/cm | 分蘖期 Tillering | 穗分化期 Panicle initiation | 抽穗期Heading | 成熟期 Maturity | |
|---|---|---|---|---|---|---|---|
| 高效叶面积 High efficient LAI | 有效叶面积 Efficient LAI | ||||||
| 2017 | 南粳9108 Nanjing 9108 | 10 | 3.45a | 4.53b | 4.88b | 7.80a | 3.75a |
| 12 | 3.21b | 4.92a | 5.43a | 7.62a | 3.73a | ||
| 14 | 2.58c | 4.10c | 4.76b | 7.13b | 3.54a | ||
| 16 | 2.41d | 3.79d | 4.21c | 7.07b | 3.23b | ||
| 18 | 2.12e | 3.48e | 4.16c | 6.49c | 3.08b | ||
| 南粳5055 Nanjing 5055 | 10 | 4.69a | 4.91a | 4.95ab | 8.57a | 3.89a | |
| 12 | 4.21b | 4.64ab | 5.17a | 8.33a | 3.83ab | ||
| 14 | 3.31c | 4.31b | 4.64b | 7.88b | 3.77ab | ||
| 16 | 3.26c | 4.14bc | 4.21c | 7.25c | 3.62bc | ||
| 18 | 2.72d | 3.93c | 4.02c | 7.12c | 3.53c | ||
| 南粳46 Nanjing 46 | 10 | 3.73a | 5.03a | 4.98a | 8.03a | 3.62a | |
| 12 | 3.81a | 4.75a | 5.19a | 7.85ab | 3.52ab | ||
| 14 | 3.17b | 4.24b | 4.88a | 7.57b | 3.45ab | ||
| 16 | 2.75c | 3.89c | 4.27b | 7.44bc | 3.32b | ||
| 18 | 2.49d | 3.53d | 4.03b | 7.12c | 3.23b | ||
| 2018 | 南粳9108 Nanjing 9108 | 10 | 3.52a | 4.66a | 4.91ab | 7.98a | 3.84a |
| 12 | 3.15b | 4.80a | 5.28a | 7.51ab | 3.80a | ||
| 14 | 2.67c | 4.07b | 4.82b | 7.22b | 3.65ab | ||
| 16 | 2.45cd | 3.87bc | 4.28c | 7.14b | 3.34bc | ||
| 18 | 2.19d | 3.54c | 4.20c | 6.57c | 3.16c | ||
| 南粳5055 Nanjing 5055 | 10 | 4.86a | 5.11a | 4.92ab | 8.50a | 3.95a | |
| 12 | 4.14b | 4.50b | 5.14a | 8.25ab | 3.85a | ||
| 14 | 3.35c | 4.34b | 4.73b | 7.98b | 3.76a | ||
| 16 | 3.33c | 4.10bc | 4.23c | 7.32c | 3.51ab | ||
| 18 | 2.60d | 3.81c | 4.11c | 7.19c | 3.49b | ||
| 南粳46 Nanjing 46 | 10 | 3.85a | 4.99a | 4.91a | 7.96a | 3.57a | |
| 12 | 3.77a | 4.63a | 5.12a | 7.74a | 3.45a | ||
| 14 | 3.12b | 3.93b | 4.69ab | 7.69ab | 3.38ab | ||
| 16 | 2.82bc | 3.68bc | 4.21bc | 7.53b | 3.31ab | ||
| 18 | 1.99c | 3.42c | 3.95c | 6.92c | 3.19b | ||
表3 机插株距对优质食味水稻品种主要生育期叶面积指数的影响
Table 3 Effect of plant spacing on leaf area index in mechanically transplanted rice with good tasting.
| 年份 Year | 品种 Cultivar | 株距 Plant spacing/cm | 分蘖期 Tillering | 穗分化期 Panicle initiation | 抽穗期Heading | 成熟期 Maturity | |
|---|---|---|---|---|---|---|---|
| 高效叶面积 High efficient LAI | 有效叶面积 Efficient LAI | ||||||
| 2017 | 南粳9108 Nanjing 9108 | 10 | 3.45a | 4.53b | 4.88b | 7.80a | 3.75a |
| 12 | 3.21b | 4.92a | 5.43a | 7.62a | 3.73a | ||
| 14 | 2.58c | 4.10c | 4.76b | 7.13b | 3.54a | ||
| 16 | 2.41d | 3.79d | 4.21c | 7.07b | 3.23b | ||
| 18 | 2.12e | 3.48e | 4.16c | 6.49c | 3.08b | ||
| 南粳5055 Nanjing 5055 | 10 | 4.69a | 4.91a | 4.95ab | 8.57a | 3.89a | |
| 12 | 4.21b | 4.64ab | 5.17a | 8.33a | 3.83ab | ||
| 14 | 3.31c | 4.31b | 4.64b | 7.88b | 3.77ab | ||
| 16 | 3.26c | 4.14bc | 4.21c | 7.25c | 3.62bc | ||
| 18 | 2.72d | 3.93c | 4.02c | 7.12c | 3.53c | ||
| 南粳46 Nanjing 46 | 10 | 3.73a | 5.03a | 4.98a | 8.03a | 3.62a | |
| 12 | 3.81a | 4.75a | 5.19a | 7.85ab | 3.52ab | ||
| 14 | 3.17b | 4.24b | 4.88a | 7.57b | 3.45ab | ||
| 16 | 2.75c | 3.89c | 4.27b | 7.44bc | 3.32b | ||
| 18 | 2.49d | 3.53d | 4.03b | 7.12c | 3.23b | ||
| 2018 | 南粳9108 Nanjing 9108 | 10 | 3.52a | 4.66a | 4.91ab | 7.98a | 3.84a |
| 12 | 3.15b | 4.80a | 5.28a | 7.51ab | 3.80a | ||
| 14 | 2.67c | 4.07b | 4.82b | 7.22b | 3.65ab | ||
| 16 | 2.45cd | 3.87bc | 4.28c | 7.14b | 3.34bc | ||
| 18 | 2.19d | 3.54c | 4.20c | 6.57c | 3.16c | ||
| 南粳5055 Nanjing 5055 | 10 | 4.86a | 5.11a | 4.92ab | 8.50a | 3.95a | |
| 12 | 4.14b | 4.50b | 5.14a | 8.25ab | 3.85a | ||
| 14 | 3.35c | 4.34b | 4.73b | 7.98b | 3.76a | ||
| 16 | 3.33c | 4.10bc | 4.23c | 7.32c | 3.51ab | ||
| 18 | 2.60d | 3.81c | 4.11c | 7.19c | 3.49b | ||
| 南粳46 Nanjing 46 | 10 | 3.85a | 4.99a | 4.91a | 7.96a | 3.57a | |
| 12 | 3.77a | 4.63a | 5.12a | 7.74a | 3.45a | ||
| 14 | 3.12b | 3.93b | 4.69ab | 7.69ab | 3.38ab | ||
| 16 | 2.82bc | 3.68bc | 4.21bc | 7.53b | 3.31ab | ||
| 18 | 1.99c | 3.42c | 3.95c | 6.92c | 3.19b | ||
| 年份 Year | 品种 Cultivar | 株距 Plant spacing/cm | 分蘖期 Tillering | 穗分化期 Panicle initiation | 抽穗期 Heading | 成熟期 Maturity |
|---|---|---|---|---|---|---|
| 2017 | 南粳9108 Nanjing 9108 | 10 | 0.69d | 1.18c | 2.83d | 2.24b |
| 12 | 0.77c | 1.64b | 3.13c | 2.36b | ||
| 14 | 0.90b | 1.67ab | 3.23bc | 2.52a | ||
| 16 | 0.96a | 1.71ab | 3.35ab | 2.55a | ||
| 18 | 1.03a | 1.73a | 3.42a | 2.62a | ||
| 南粳5055 Nanjing 5055 | 10 | 0.52d | 1.04e | 2.34d | 2.14c | |
| 12 | 0.63c | 1.18d | 2.67c | 2.25bc | ||
| 14 | 0.75b | 1.27c | 2.73c | 2.32b | ||
| 16 | 0.83a | 1.42b | 2.95b | 2.55a | ||
| 18 | 0.85a | 1.58a | 3.13a | 2.62a | ||
| 南粳46 Nanjing 46 | 10 | 0.83d | 1.10 d | 2.37d | 2.18d | |
| 12 | 0.88c | 1.28c | 2.61c | 2.31c | ||
| 14 | 0.92bc | 1.37b | 2.82b | 2.37bc | ||
| 16 | 0.95ab | 1.42b | 2.98b | 2.52ab | ||
| 18 | 0.98a | 1.56a | 3.17a | 2.58a | ||
| 2018 | 南粳9108 Nanjing 9108 | 10 | 0.71d | 1.24c | 2.85c | 2.31b |
| 12 | 0.75c | 1.59b | 3.01c | 2.32b | ||
| 14 | 0.86b | 1.66a | 3.16bc | 2.55a | ||
| 16 | 0.93a | 1.63a | 3.25ab | 2.49a | ||
| 18 | 0.91a | 1.69a | 3.31a | 2.61a | ||
| 南粳5055 Nanjing 5055 | 10 | 0.67d | 1.11c | 2.41d | 2.07b | |
| 12 | 0.71c | 1.09c | 2.58cd | 2.11b | ||
| 14 | 0.77b | 1.28b | 2.61c | 2.14b | ||
| 16 | 0.85a | 1.35b | 2.82b | 2.28ab | ||
| 18 | 0.92a | 1.61a | 3.19a | 2.36a | ||
| 南粳46 Nanjing 46 | 10 | 0.77c | 1.15c | 2.41d | 2.28b | |
| 12 | 0.84b | 1.39b | 2.62c | 2.35b | ||
| 14 | 0.83b | 1.43b | 2.71bc | 2.32b | ||
| 16 | 0.88b | 1.44b | 2.88b | 2.46ab | ||
| 18 | 0.94a | 1.51a | 3.15a | 2.55a |
表4 机插密度对优质食味水稻品种不同生育期单茎茎鞘质量的影响
Table 4 Effect of plant spacing on single stem weight in mechanical transplanted rice with good tasting.g
| 年份 Year | 品种 Cultivar | 株距 Plant spacing/cm | 分蘖期 Tillering | 穗分化期 Panicle initiation | 抽穗期 Heading | 成熟期 Maturity |
|---|---|---|---|---|---|---|
| 2017 | 南粳9108 Nanjing 9108 | 10 | 0.69d | 1.18c | 2.83d | 2.24b |
| 12 | 0.77c | 1.64b | 3.13c | 2.36b | ||
| 14 | 0.90b | 1.67ab | 3.23bc | 2.52a | ||
| 16 | 0.96a | 1.71ab | 3.35ab | 2.55a | ||
| 18 | 1.03a | 1.73a | 3.42a | 2.62a | ||
| 南粳5055 Nanjing 5055 | 10 | 0.52d | 1.04e | 2.34d | 2.14c | |
| 12 | 0.63c | 1.18d | 2.67c | 2.25bc | ||
| 14 | 0.75b | 1.27c | 2.73c | 2.32b | ||
| 16 | 0.83a | 1.42b | 2.95b | 2.55a | ||
| 18 | 0.85a | 1.58a | 3.13a | 2.62a | ||
| 南粳46 Nanjing 46 | 10 | 0.83d | 1.10 d | 2.37d | 2.18d | |
| 12 | 0.88c | 1.28c | 2.61c | 2.31c | ||
| 14 | 0.92bc | 1.37b | 2.82b | 2.37bc | ||
| 16 | 0.95ab | 1.42b | 2.98b | 2.52ab | ||
| 18 | 0.98a | 1.56a | 3.17a | 2.58a | ||
| 2018 | 南粳9108 Nanjing 9108 | 10 | 0.71d | 1.24c | 2.85c | 2.31b |
| 12 | 0.75c | 1.59b | 3.01c | 2.32b | ||
| 14 | 0.86b | 1.66a | 3.16bc | 2.55a | ||
| 16 | 0.93a | 1.63a | 3.25ab | 2.49a | ||
| 18 | 0.91a | 1.69a | 3.31a | 2.61a | ||
| 南粳5055 Nanjing 5055 | 10 | 0.67d | 1.11c | 2.41d | 2.07b | |
| 12 | 0.71c | 1.09c | 2.58cd | 2.11b | ||
| 14 | 0.77b | 1.28b | 2.61c | 2.14b | ||
| 16 | 0.85a | 1.35b | 2.82b | 2.28ab | ||
| 18 | 0.92a | 1.61a | 3.19a | 2.36a | ||
| 南粳46 Nanjing 46 | 10 | 0.77c | 1.15c | 2.41d | 2.28b | |
| 12 | 0.84b | 1.39b | 2.62c | 2.35b | ||
| 14 | 0.83b | 1.43b | 2.71bc | 2.32b | ||
| 16 | 0.88b | 1.44b | 2.88b | 2.46ab | ||
| 18 | 0.94a | 1.51a | 3.15a | 2.55a |
| 年份 Year | 品种 Cultivar | 株距 Plant spacing/cm | 分蘖期 Tillering | 穗分化期 Panicle initiation | 抽穗期 Heading | 成熟期 Maturity | 抽穗-成熟 Heading-Maturity |
|---|---|---|---|---|---|---|---|
| 2017 | 南粳9108 Nanjing 9108 | 10 | 5.14a | 8.45a | 11.2a | 17.5ab | 6.29cd |
| 12 | 4.88ab | 8.43a | 11.3a | 18.3a | 6.93a | ||
| 14 | 4.64b | 7.86b | 10.9ab | 17.6ab | 6.72ab | ||
| 16 | 4.32c | 7.70b | 10.7ab | 17.2bc | 6.44bc | ||
| 18 | 4.16c | 7.55b | 10.4b | 16.5c | 6.08d | ||
| 南粳5055 Nanjing 5055 | 10 | 4.43a | 8.72a | 11.6a | 18.4a | 6.71ab | |
| 12 | 4.58a | 8.34a | 11.4ab | 18.3a | 6.89a | ||
| 14 | 3.96b | 7.76b | 11.2ab | 17.9ab | 6.64ab | ||
| 16 | 3.78b | 7.12c | 10.9b | 17.3b | 6.38bc | ||
| 18 | 3.53c | 6.56d | 10.7b | 17.0b | 6.31c | ||
| 南粳46 Nanjing 46 | 10 | 4.95a | 8.88a | 12.4a | 18.0a | 5.54b | |
| 12 | 4.86a | 8.12b | 11.9ab | 18.2a | 6.38a | ||
| 14 | 4.43b | 7.76b | 11.5bc | 17.3ab | 5.80b | ||
| 16 | 4.06c | 7.16c | 11.1c | 16.9bc | 5.71b | ||
| 18 | 3.64d | 6.58d | 11.0c | 16.1c | 5.13c | ||
| 2018 | 南粳9108 Nanjing 9108 | 10 | 5.22a | 8.51a | 11.5a | 17.9a | 6.45bc |
| 12 | 4.27bc | 8.33ab | 11.4a | 18.4a | 7.02a | ||
| 14 | 4.52b | 7.93b | 11.2a | 17.9ab | 6.73ab | ||
| 16 | 4.44b | 7.81bc | 10.9ab | 17.1b | 6.01c | ||
| 18 | 4.05c | 7.53c | 10.4b | 16.2c | 5.71d | ||
| 南粳5055 Nanjing 5055 | 10 | 4.63a | 8.58a | 11.7a | 18.1a | 6.67ab | |
| 12 | 4.75a | 7.43b | 11.2a | 18.2a | 6.97a | ||
| 14 | 3.89b | 7.15b | 11.1ab | 17.6a | 6.58b | ||
| 16 | 4.37ab | 6.67c | 10.9b | 16.9ab | 6.01c | ||
| 18 | 3.33c | 6.45c | 10.4b | 16.1b | 5.67c | ||
| 南粳46 Nanjing 46 | 10 | 5.89a | 8.25a | 12.1a | 17.6a | 5.68b | |
| 12 | 5.63a | 7.85ab | 11.8a | 17.7a | 6.32a | ||
| 14 | 3.93b | 7.23b | 11.5ab | 17.3a | 5.85b | ||
| 16 | 3.31c | 6.31c | 11.2b | 16.9ab | 5.53c | ||
| 18 | 2.86d | 6.01c | 10.8b | 16.6b | 5.11d |
表5 机插株距对优质食味水稻品种干物质积累的影响
Table 5 Effect of plant spacing on dry matter accumulation in mechanically transplanted rice with good tasting.t/hm2
| 年份 Year | 品种 Cultivar | 株距 Plant spacing/cm | 分蘖期 Tillering | 穗分化期 Panicle initiation | 抽穗期 Heading | 成熟期 Maturity | 抽穗-成熟 Heading-Maturity |
|---|---|---|---|---|---|---|---|
| 2017 | 南粳9108 Nanjing 9108 | 10 | 5.14a | 8.45a | 11.2a | 17.5ab | 6.29cd |
| 12 | 4.88ab | 8.43a | 11.3a | 18.3a | 6.93a | ||
| 14 | 4.64b | 7.86b | 10.9ab | 17.6ab | 6.72ab | ||
| 16 | 4.32c | 7.70b | 10.7ab | 17.2bc | 6.44bc | ||
| 18 | 4.16c | 7.55b | 10.4b | 16.5c | 6.08d | ||
| 南粳5055 Nanjing 5055 | 10 | 4.43a | 8.72a | 11.6a | 18.4a | 6.71ab | |
| 12 | 4.58a | 8.34a | 11.4ab | 18.3a | 6.89a | ||
| 14 | 3.96b | 7.76b | 11.2ab | 17.9ab | 6.64ab | ||
| 16 | 3.78b | 7.12c | 10.9b | 17.3b | 6.38bc | ||
| 18 | 3.53c | 6.56d | 10.7b | 17.0b | 6.31c | ||
| 南粳46 Nanjing 46 | 10 | 4.95a | 8.88a | 12.4a | 18.0a | 5.54b | |
| 12 | 4.86a | 8.12b | 11.9ab | 18.2a | 6.38a | ||
| 14 | 4.43b | 7.76b | 11.5bc | 17.3ab | 5.80b | ||
| 16 | 4.06c | 7.16c | 11.1c | 16.9bc | 5.71b | ||
| 18 | 3.64d | 6.58d | 11.0c | 16.1c | 5.13c | ||
| 2018 | 南粳9108 Nanjing 9108 | 10 | 5.22a | 8.51a | 11.5a | 17.9a | 6.45bc |
| 12 | 4.27bc | 8.33ab | 11.4a | 18.4a | 7.02a | ||
| 14 | 4.52b | 7.93b | 11.2a | 17.9ab | 6.73ab | ||
| 16 | 4.44b | 7.81bc | 10.9ab | 17.1b | 6.01c | ||
| 18 | 4.05c | 7.53c | 10.4b | 16.2c | 5.71d | ||
| 南粳5055 Nanjing 5055 | 10 | 4.63a | 8.58a | 11.7a | 18.1a | 6.67ab | |
| 12 | 4.75a | 7.43b | 11.2a | 18.2a | 6.97a | ||
| 14 | 3.89b | 7.15b | 11.1ab | 17.6a | 6.58b | ||
| 16 | 4.37ab | 6.67c | 10.9b | 16.9ab | 6.01c | ||
| 18 | 3.33c | 6.45c | 10.4b | 16.1b | 5.67c | ||
| 南粳46 Nanjing 46 | 10 | 5.89a | 8.25a | 12.1a | 17.6a | 5.68b | |
| 12 | 5.63a | 7.85ab | 11.8a | 17.7a | 6.32a | ||
| 14 | 3.93b | 7.23b | 11.5ab | 17.3a | 5.85b | ||
| 16 | 3.31c | 6.31c | 11.2b | 16.9ab | 5.53c | ||
| 18 | 2.86d | 6.01c | 10.8b | 16.6b | 5.11d |
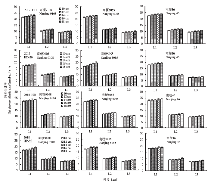
图5 机插株距对优质食味水稻品种不同叶片净光合速率的影响 L1、L2和L3分别表示剑叶、顶部第3叶和第5叶;HD和HD-20分别表示抽穗期和抽穗后20d。下图同。
Fig. 5. Effects of plant spacing on leaf net photosynthetic rate in mechanically transplanted rice with good tasting. L1,L2 and L3 represent the flag leaf, the third leaf and the fifth leaf from the top. HD and HD-20 mean heading and 20 days after heading, respectively.The same as in figures below.
图6 机插株距对优质食味水稻品种单位面积冠层净光合速率的影响
Fig. 6. Effects of plant spacing on net photosynthetic rate per unit area canopy in mechanical transplanted rice with good tasting.
| [1] | 徐丽君, 杨敏丽, 黄玉祥. 南方双季稻区水稻机械化生产燃油消耗影响因素分析[J]. 农业工程学报, 2012, 28(23): 33-39. |
| Xu L J, Yang M L, Huang Y X.Analysis on influencing factors of fuel consumption for mechanical paddy rice production in double-cropping areas in southern China[J]. Transactions of the Chinese Society of Agricultural Engineering, 2012, 28(23): 33-39. (in Chinese with English abstract) | |
| [2] | Peng S B, Tang Q Y, Zou Y B.Current status and challenges of rice production in China[J]. Plant Production Science, 2009, 12(1): 3-8. |
| [3] | 曹曙明. 中国农业机械化年鉴2013[M]. 北京:中国农业科学技术出版社, 2013. |
| Cao S M.Yearbook of China Agricultural Mechanization in 2013[M]. Beijing:China Agricultural Science and Technology Press, 2013. | |
| [4] | 王智才. 突破机械育插秧环节推进水稻生产机械化—江苏省发展水稻机插秧情况调查. 水稻生产机械化技术交流会论文集[C].南京: 农业部南京农业机械化研究所, 2006. |
| Wang Z C.Breaking through mechanization of rice seedling breeding and transplanting and promoting rice production mechanization: Investigation on the development of rice mechanical transplanting in Jiangsu Province[C]. The Collection of Mechanical Rice Production Technology Conference, Nanjing: Nanjing Institute of Agricultural Mechanization, Ministry of Agriculture, 2006. | |
| [5] | 向泽民, 何延明. 不同机插密度对水稻群体结构和产量的影响[J]. 现代农业科技, 2015(4): 30. |
| Xiang Z M, He Y M.Effects of different mechanical transplanting densities on rice population structure and yield[J]. Modern Agricultural Science and Technology, 2015(4): 30. (in Chinese) | |
| [6] | 吴雪源, 王依明. 不同机插密度对水稻产量的影响试验简报[J]. 上海农业科技, 2012(3): 47. |
| Wu X Y, Wang Y M.Preliminary report on effects of different mechanical transplanting densities on rice yield[J]. Shanghai Agricultural Science and Technology, 2012(3): 47. (in Chinese) | |
| [7] | 许俊伟, 孟天瑶, 荆培培, 张洪程, 李超, 戴其根, 魏海燕, 郭保卫. 机插密度对不同类型水稻抗倒伏能力及产量的影响[J]. 作物学报, 2015, 41(11): 1767-1776. |
| Xu J W, Meng T Y, Jing P P, Zhang H C, Li C, Dai Q G, Wei H Y, Guo B W.Effect of mechanical-transplanting density on lodging resistance and yield in different types of rice[J]. ActaAgronomicaSinica, 2015, 41(11): 1767-1776. (in Chinese with English abstract) | |
| [8] | 徐飞. 不同机插密度对不同品种水稻生长及产量的影响[J]. 上海农业科技, 2017(2): 32-33. |
| Xu F.Effects of different mechanical transplanting density on growth and yield in different rice cultivars[J]. Shanghai Agricultural Science and Technology, 2017(2): 32-33. (in Chinese) | |
| [9] | 胡雅杰, 钱海军, 曹伟伟, 邢志鹏, 张洪程, 戴其根, 霍中洋, 许轲, 魏海燕, 郭保卫. 机插方式和密度对不同穗型水稻品种产量及其构成的影响[J]. 中国水稻科学, 2016, 30(5): 493-506. |
| Hu Y J, Qian H J, Cao W W, Xing Z P, Zhang H C, Dai Q G, Huo Z Y, Xu K, Wei H Y, Guo B W.Effect of different mechanical transplantation methods and density on yield and its components of different panicle-typed rice[J]. Chinese Journal of Rice Science, 2016, 30(5): 493-506. (in Chinese with English abstract) | |
| [10] | 何海兵, 杨茹, 廖江, 武立权, 孔令聪, 黄义德. 水分和氮肥管理对灌溉水稻优质高产高效调控机制的研究进展[J]. 中国农业科学, 2016, 49(2): 305-318. |
| He H B, Yang R, Liao J, Wu L Q, Kong L C, Huang Y D.Research advance of high-yielding and high efficiency in resource use and improving grain quality of rice plants under water and nitrogen managements in an irrigated region[J]. Scientia AgriculturaSinica, 2016, 49(2): 305-318. (in Chinese with English abstract) | |
| [11] | 龚金龙, 张洪程, 胡雅杰, 龙厚元, 常勇, 王艳, 邢志鹏, 霍中洋. 灌浆结实期温度对水稻产量和品质形成的影响[J]. 生态学杂志, 2013, 32(2): 482-491. |
| Gong J L, Zhang H C, Hu Y J, Long H Y, Chang Y, Wang Y, Xing Z P, Huo Z Y.Effects of air temperature during rice grain-filling period on the formation of rice grain yield and its quality[J]. Chinese Journal of Ecology, 2013, 32(2): 482-491. (in Chinese with English abstract) | |
| [12] | 于贵瑞, 王秋凤主编. 植物光合、蒸腾与水分利用的生理生态学[M]. 北京:科学出版社,2010:204-241. |
| Yu G R, Wang Q F.Ecophysiology of Plant Photosynthesis, Transpiration, and Water Use. Beijng: Science Press, 2010:240-241. | |
| [13] | 缪子梅, 俞双恩, 卢斌, 丁继辉, 于智恒. 基于结构方程模型的控水稻“需水量-光合量-产量”关系研究[J]. 农业工程学报, 2013, 29(6): 91-98. |
| Miao Z M, Yu S E, Lu B, Ding J H, Yu Z H.Relationships of ‘water requirement photosynthesis production’ for paddy rice using structural equation modeling.Transactions of the Chinese Society of Agricultural Engineering, 2013, 29(6): 91-98. (in Chinese with English abstract). | |
| [14] | 张荣萍, 戴红燕, 蔡光泽, 马均, 肖勇. 不同栽插密度对有色稻产量和群体质量的影响[J]. 中国农学通报, 2009, 25(16):123-127. |
| Zhang R P, Dai H Y, Cai G Z, Ma J, Xiao Y.Effects of different density on yield and population growth quality in colored rice[J]. Chinese Agricultural Science Bulletin, 2009, 25(16): 123-127. (in Chinese with English abstract) | |
| [15] | Jing L, Yuan J C, Cai G Z.Research on the effect of planting density on rice yield and quality[J]. Asian Agricultural Research, 2013, 5(4): 121-123. |
| [16] | 方文英, 徐云松, 金国强, 郑洪福, 陈小忠, 徐攀峰. 机插密度与氮肥运筹对早稻生长特性和产量的影响[J]. 中国稻米, 2013, 19(1): 56-58. |
| Fang W Y, Xu Y S, Jin G Q, Zheng H F, Chen X Z, Xu P F.Effects of mechanical transplanting and nitrogen application regime on growth characteristic and yield in early rice[J]. China Rice, 2013, 19(1): 56-58. (in Chinese with English abstract) | |
| [17] | 郎有忠, 王美娥, 吕川根, 张祖建, 朱庆森. 水稻叶片形态、群体结构和产量对种植密度的响应[J]. 江苏农业学报, 2012, 28(1): 7-11. |
| Lang Y Z, Wang M E, Lü C G, Zhang Z J, Zhu Q S.Response of leaf morphology, population structure and yield to planting density in rice[J]. Jiangsu Journal of Agricultural Sciences, 2012, 28(1): 7-11. (in Chinese with English abstract) | |
| [18] | 吴春赞, 叶定池, 林华, 倪日群, 赖联赛, 林辉. 栽插密度对水稻产量及品质的影响[J]. 中国农学通报, 2005, 21(9): 190-191. |
| Wu C Z, Ye D C, Lin H, Ni R Q, Lai L S, Lin H,.Effects of transplanting density on rice yield and its quality[J]. Chinese Agricultural Science Bulletin, 2005, 21(9): 190-191. (in Chinese with English abstract) | |
| [19] | 翟超群. 播期和移栽密度对淮北中粳稻两个品种产量形成及品质的影响[D]. 扬州: 扬州大学, 2007. |
| Zhai C Q.Effects of different sowing date and planting density on yield formation and quality of two medium japonica rice varieties in Huaibei[D]. Yangzhou: Yangzhou University, 2007. | |
| [20] | 汪秀志, 李军, 刘崇文, 许谊强, 吕艳东, 刘丽华, 郑桂萍, 钱永德. 施氮和密度对寒地水稻干物质积累的影响[J]. 西北农业学报, 2013, 22(9): 55-64. |
| Wang X Z, Li J, Liu C W, Xu Y Q, Lü Y D, Liu L H, Zheng G P, Qian Y D.The effects of N fertilizer application and density on dry matter accumulation of rice in cold area[J]. ActaAgriculturaeBoreali-occidentalisSinica, 2013, 22(9): 55-64. (in Chinese with English abstract) | |
| [21] | 贾汝志, 王立余, 李忠武, 武仲科, 李冬梅, 姚兰. 水稻不同插秧密度试验总结[J]. 北方水稻, 2007(2): 39-40. |
| Jia R Z, Wang L Y, Li Z W, Wu Z K, Li D M, Yao L.Summary on the experiment of transplanting density in rice[J]. North Rice, 2007(2): 39-40. (in Chinese with English abstract) | |
| [22] | 黄高宝. 作物群体受光结构与作物生产力研究[J]. 生态学杂志, 1999(1): 60-66. |
| Huang G B.A review of the researches of crop colony structure and light distribution in relation to crop productivity[J]. Chinese Journal of Ecology, 1999(1): 60-66. (in Chinese with English abstract) | |
| [23] | 吴文革, 周永进, 张健美, 陈刚, 许有尊, 李胜群, 左庆, 叶为发, 余友玲, 杨成林, 孙雪原. 杂交中籼稻钵苗机插群体特征及产量形成优势分析[J].核农学报, 2016, 30(7): 1427-1434. |
| Wu W G, Zhou Y J, Zhang J M, Chen G, Xu Y Z, Li S Q, Zuo Q, Ye W F, Yu Y L, Yang C L, Sun X Y.Analysis on population characteristics and yield formation advantages of pot-seedling mechanical transplanting middle-season indica hybrid rice[J]. Journal of Nuclear Agricultural Sciences, 2016, 30(7): 1427-1434. (in Chinese with English abstract) |
| [1] | 郭展, 张运波. 水稻对干旱胁迫的生理生化响应及分子调控研究进展[J]. 中国水稻科学, 2024, 38(4): 335-349. |
| [2] | 韦还和, 马唯一, 左博源, 汪璐璐, 朱旺, 耿孝宇, 张翔, 孟天瑶, 陈英龙, 高平磊, 许轲, 霍中洋, 戴其根. 盐、干旱及其复合胁迫对水稻产量和品质形成影响的研究进展[J]. 中国水稻科学, 2024, 38(4): 350-363. |
| [3] | 吕宙, 易秉怀, 陈平平, 周文新, 唐文帮, 易镇邪. 施氮量与移栽密度对小粒型杂交水稻产量形成的影响[J]. 中国水稻科学, 2024, 38(4): 422-436. |
| [4] | 赵艺婷, 谢可冉, 高逖, 崔克辉. 水稻分蘖期干旱锻炼对幼穗分化期高温下穗发育和产量形成的影响[J]. 中国水稻科学, 2024, 38(3): 277-289. |
| [5] | 周甜, 吴少华, 康建宏, 吴宏亮, 杨生龙, 王星强, 李昱, 黄玉峰. 不同种植模式对水稻籽粒淀粉含量及淀粉关键酶活性的影响[J]. 中国水稻科学, 2024, 38(3): 303-315. |
| [6] | 彭显龙, 董强, 张辰, 李鹏飞, 李博琳, 刘智蕾, 于彩莲. 不同土壤条件下秸秆还田量对土壤还原性物质及水稻生长的影响[J]. 中国水稻科学, 2024, 38(2): 198-210. |
| [7] | 朱旺, 张翔, 耿孝宇, 张哲, 陈英龙, 韦还和, 戴其根, 许轲, 朱广龙, 周桂生, 孟天瑶. 盐-旱复合胁迫下水稻根系的形态和生理特征及其与产量形成的关系[J]. 中国水稻科学, 2023, 37(6): 617-627. |
| [8] | 邹宇傲, 吴启侠, 周乾顺, 朱建强, 晏军. 孕穗期杂交中稻对淹涝胁迫的响应[J]. 中国水稻科学, 2023, 37(6): 642-656. |
| [9] | 袁沛, 周旋, 杨威, 尹凌洁, 靳拓, 彭建伟, 荣湘民, 田昌. 化肥减氮配施对洞庭湖区双季稻产量和田面水氮磷流失风险的影响[J]. 中国水稻科学, 2023, 37(5): 518-528. |
| [10] | 肖大康, 胡仁, 韩天富, 张卫峰, 侯俊, 任科宇. 氮肥用量和运筹对我国水稻产量及其构成因子影响的整合分析[J]. 中国水稻科学, 2023, 37(5): 529-542. |
| [11] | 黄亚茹, 徐鹏, 王乐乐, 贺一哲, 王辉, 柯健, 何海兵, 武立权, 尤翠翠. 外源海藻糖对粳稻品系W1844籽粒灌浆特性及产量形成的影响[J]. 中国水稻科学, 2023, 37(4): 379-391. |
| [12] | 高欠清, 任孝俭, 翟中兵, 郑普兵, 吴源芬, 崔克辉. 头季穗肥和促芽肥对再生稻再生芽生长及产量形成的影响[J]. 中国水稻科学, 2023, 37(4): 405-414. |
| [13] | 王文婷, 马佳颖, 李光彦, 符卫蒙, 李沪波, 林洁, 陈婷婷, 奉保华, 陶龙兴, 符冠富, 秦叶波. 高温下不同施肥量对水稻产量品质形成的影响及其与能量代谢的关系分析[J]. 中国水稻科学, 2023, 37(3): 253-264. |
| [14] | 杨晓龙, 王彪, 汪本福, 张枝盛, 张作林, 杨蓝天, 程建平, 李阳. 不同水分管理方式对旱直播水稻产量和稻米品质的影响[J]. 中国水稻科学, 2023, 37(3): 285-294. |
| [15] | 魏晓东, 宋雪梅, 赵凌, 赵庆勇, 陈涛, 路凯, 朱镇, 黄胜东, 王才林, 张亚东. 硅锌肥及其施用方式对南粳46产量和稻米品质的影响[J]. 中国水稻科学, 2023, 37(3): 295-306. |
| 阅读次数 | ||||||
|
全文 |
|
|||||
|
摘要 |
|
|||||