
中国水稻科学 ›› 2017, Vol. 31 ›› Issue (2): 166-174.DOI: 10.16819/j.1001-7216.2017.6073
曾研华1,2, 张玉屏1, 潘晓华2, 朱德峰1,*(
), 向镜1, 陈惠哲1, 张义凯1, 曾勇军2
出版日期:2017-03-20
发布日期:2017-03-10
通讯作者:
朱德峰
基金资助:
Yanhua ZENG1,2, Yuping ZHANG1, Xiaohua PAN2, Defeng ZHU1,*(
), Jing XIANG1, Huizhe CHEN1, Yikai ZHANG1, Yongjun ZENG2
Online:2017-03-20
Published:2017-03-10
Contact:
Defeng ZHU
摘要:
【目的】 花后低温是影响米质的首要生态因子。为明确花后低温对甬优品种稻米品质性状及淀粉RVA谱特性的影响,【方法】以籼粳杂交稻甬优17号、甬优538和杂交籼稻中浙优1号、常规粳稻浙粳88为材料,采用盆栽试验,通过人工气候箱于水稻花后0–15d(前期)、15–30d(中期)和30d–成熟(后期)分别进行20℃、17℃和14℃的低温处理。【结果】 花后低温显著影响供试品种整精米率、垩白度、胶稠度、直链淀粉含量及蛋白质,使甬优品种淀粉RVA谱特征值峰值黏度、热浆黏度、冷胶黏度、崩解值降低,回复值和消减值升高。花后前期低温对稻米加工品质影响最大,而花后中、后期低温对外观品质、蒸煮食味品质和营养品质影响最大,且甬优17号比甬优538对低温更敏感。花后低温对稻米品质影响明显,低温处理影响因品种类型、品质指标及处理时段而异。【结论】 生产中应基于品种特性综合考虑稻米各品质指标,在结实期采取相应的米质调优栽培措施,充分发挥籼粳杂交稻品种的品质潜力。
曾研华, 张玉屏, 潘晓华, 朱德峰, 向镜, 陈惠哲, 张义凯, 曾勇军. 花后不同时段低温对籼粳杂交稻稻米品质性状的影响[J]. 中国水稻科学, 2017, 31(2): 166-174.
Yanhua ZENG, Yuping ZHANG, Xiaohua PAN, Defeng ZHU, Jing XIANG, Huizhe CHEN, Yikai ZHANG, Yongjun ZENG. Effect of Low Temperature After Flowering on Grain Quality of indica-japonica Hybrid Rice[J]. Chinese Journal OF Rice Science, 2017, 31(2): 166-174.
| 处理 Treatment | 花后0–15 d 15 DAF | 花后15–30 d From 15 to 30 DAF | 花后30 d–成熟 30 DAF to maturity |
|---|---|---|---|
| 灌浆前期(S1) Early grain filling stage | 20.0 | 25.0 | 25.0 |
| 灌浆中期(S2) Middle grain filling stage | 25.0 | 17.0 | 25.0 |
| 灌浆后期(S3) Later grain filling stage | 25.0 | 25.0 | 14.0 |
| 对照(CK) Controll | 25.0 | ||
表1 灌浆期不同时段处理平均温度设置
Table 1 Average temperature during grain filling stage. ℃
| 处理 Treatment | 花后0–15 d 15 DAF | 花后15–30 d From 15 to 30 DAF | 花后30 d–成熟 30 DAF to maturity |
|---|---|---|---|
| 灌浆前期(S1) Early grain filling stage | 20.0 | 25.0 | 25.0 |
| 灌浆中期(S2) Middle grain filling stage | 25.0 | 17.0 | 25.0 |
| 灌浆后期(S3) Later grain filling stage | 25.0 | 25.0 | 14.0 |
| 对照(CK) Controll | 25.0 | ||
| 品种Variety | 处理Treatment | 加工品质Processing quality | 外观品质Appearance quality | ||||
|---|---|---|---|---|---|---|---|
| 糙米率 BRP / % | 精米率 MRP / % | 整精米率 HRR / % | 垩白粒率 PCRG / % | 垩白大小 CS / % | 垩白度 DC / % | ||
| 中浙优1号 Zhongzheyou 1 | CK | 83.7 a | 76.2 a | 61.8 a | 25.0 b | 19.6 a | 4.9 a |
| S1 | 82.8 ab | 75.1 ab | 41.9 b | 29.0 a | 10.3 c | 3.0 c | |
| S2 | 83.2 ab | 75.7 a | 46.1 b | 23.5 b | 17.0 b | 4.0 b | |
| S3 | 82.3 b | 74.9 b | 42.1 b | 24.0 b | 15.0 bc | 3.6 bc | |
| 平均值Average | 83.0 | 75.5 | 48.0 | 25.4 | 15.5 | 3.9 | |
| CV | 0.72 | 0.77 | 19.63 | 9.84 | 25.26 | 20.58 | |
| 甬优17号 Yongyou 17 | CK | 82.8 a | 75.1 b | 64.4 a | 15.0 b | 13.3 b | 2.0 b |
| S1 | 81.6 b | 73.9 b | 47.8 c | 7.5 c | 10.7 c | 0.8 c | |
| S2 | 82.1 ab | 74.5 b | 50.3 bc | 20.0 a | 17.5 a | 3.5 a | |
| S3 | 81.8 ab | 80.0 a | 58.9 ab | 12.0 b | 16.7 a | 2.0 b | |
| 平均值Average | 82.1 | 75.9 | 55.4 | 13.6 | 14.5 | 2.1 | |
| CV | 0.66 | 3.70 | 13.85 | 38.53 | 21.65 | 53.29 | |
| 甬优538 Yongyou 538 | CK | 85.0 a | 77.3 a | 62.1 ab | 43.5 a | 21.6 a | 9.4 a |
| S1 | 84.9 a | 77.0 a | 61.1 b | 32.0 b | 20.0 a | 6.4 b | |
| S2 | 84.9 a | 77.2 a | 69.7 a | 32.5 b | 16.0 b | 5.2 c | |
| S3 | 83.8 b | 75.9 b | 58.9 b | 32.0 b | 20.0 a | 6.4 b | |
| 平均值Average | 84.6 | 76.9 | 63.0 | 35.0 | 19.4 | 6.9 | |
| CV | 0.69 | 0.82 | 7.44 | 16.20 | 12.33 | 26.16 | |
| 浙粳88 Zhejing 88 | CK | 85.6 b | 76.4 b | 65.5 a | 73.5 a | 18.8 a | 13.8 a |
| S1 | 86.4 a | 78.4 a | 66.0 a | 69.5 a | 15.0 a | 10.4 b | |
| S2 | 86.3 a | 78.3 a | 50.1 b | 64.5 b | 16.1 a | 10.4 b | |
| S3 | 85.3 b | 77.5 a | 53.9 b | 54.5c | 11.7 b | 6.4c | |
| 平均值Average | 85.9 | 77.6 | 58.9 | 65.5 | 15.4 | 10.3 | |
| CV | 0.67 | 1.19 | 13.78 | 12.53 | 18.92 | 29.52 | |
表2 花后温度对不同类型水稻稻米品质的影响
Table 2 Effect of temperature after flowering on grain quality of different type rice.
| 品种Variety | 处理Treatment | 加工品质Processing quality | 外观品质Appearance quality | ||||
|---|---|---|---|---|---|---|---|
| 糙米率 BRP / % | 精米率 MRP / % | 整精米率 HRR / % | 垩白粒率 PCRG / % | 垩白大小 CS / % | 垩白度 DC / % | ||
| 中浙优1号 Zhongzheyou 1 | CK | 83.7 a | 76.2 a | 61.8 a | 25.0 b | 19.6 a | 4.9 a |
| S1 | 82.8 ab | 75.1 ab | 41.9 b | 29.0 a | 10.3 c | 3.0 c | |
| S2 | 83.2 ab | 75.7 a | 46.1 b | 23.5 b | 17.0 b | 4.0 b | |
| S3 | 82.3 b | 74.9 b | 42.1 b | 24.0 b | 15.0 bc | 3.6 bc | |
| 平均值Average | 83.0 | 75.5 | 48.0 | 25.4 | 15.5 | 3.9 | |
| CV | 0.72 | 0.77 | 19.63 | 9.84 | 25.26 | 20.58 | |
| 甬优17号 Yongyou 17 | CK | 82.8 a | 75.1 b | 64.4 a | 15.0 b | 13.3 b | 2.0 b |
| S1 | 81.6 b | 73.9 b | 47.8 c | 7.5 c | 10.7 c | 0.8 c | |
| S2 | 82.1 ab | 74.5 b | 50.3 bc | 20.0 a | 17.5 a | 3.5 a | |
| S3 | 81.8 ab | 80.0 a | 58.9 ab | 12.0 b | 16.7 a | 2.0 b | |
| 平均值Average | 82.1 | 75.9 | 55.4 | 13.6 | 14.5 | 2.1 | |
| CV | 0.66 | 3.70 | 13.85 | 38.53 | 21.65 | 53.29 | |
| 甬优538 Yongyou 538 | CK | 85.0 a | 77.3 a | 62.1 ab | 43.5 a | 21.6 a | 9.4 a |
| S1 | 84.9 a | 77.0 a | 61.1 b | 32.0 b | 20.0 a | 6.4 b | |
| S2 | 84.9 a | 77.2 a | 69.7 a | 32.5 b | 16.0 b | 5.2 c | |
| S3 | 83.8 b | 75.9 b | 58.9 b | 32.0 b | 20.0 a | 6.4 b | |
| 平均值Average | 84.6 | 76.9 | 63.0 | 35.0 | 19.4 | 6.9 | |
| CV | 0.69 | 0.82 | 7.44 | 16.20 | 12.33 | 26.16 | |
| 浙粳88 Zhejing 88 | CK | 85.6 b | 76.4 b | 65.5 a | 73.5 a | 18.8 a | 13.8 a |
| S1 | 86.4 a | 78.4 a | 66.0 a | 69.5 a | 15.0 a | 10.4 b | |
| S2 | 86.3 a | 78.3 a | 50.1 b | 64.5 b | 16.1 a | 10.4 b | |
| S3 | 85.3 b | 77.5 a | 53.9 b | 54.5c | 11.7 b | 6.4c | |
| 平均值Average | 85.9 | 77.6 | 58.9 | 65.5 | 15.4 | 10.3 | |
| CV | 0.67 | 1.19 | 13.78 | 12.53 | 18.92 | 29.52 | |
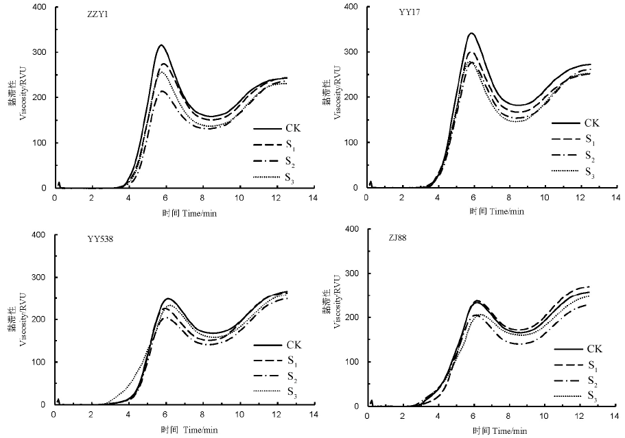
| 品种 Variety | 处理时段 Treatment period | 峰值黏度 PV / RVU | 热浆黏度 HPV / RVU | 冷胶黏度 CPV / RVU | 崩解值 BD / RVU | 回复值 SB / RVU | 消减值 CT / RVU | 糊化温度 PaT / ℃ |
|---|---|---|---|---|---|---|---|---|
| 中浙优1号 ZZY1 | 对照CK | 302.0 a | 158.0 a | 235.2 b | 152.2 a | -66.8 c | 85.3 c | 81.6 b |
| S1 | 274.3 b | 150.6 a | 244.0 ab | 123.8 b | -30.3 b | 93.4 b | 82.5 b | |
| S2 | 230.6 c | 138.5 b | 247.0 a | 92.1 c | 16.4 a | 108.5 a | 86.1 a | |
| S3 | 276.1 ab | 144.7 ab | 240.0 ab | 131.4 b | -36.1 b | 95.3 b | 82.9 b | |
| 平均Average | 270.8 | 147.9 | 241.6 | 124.9 | -29.2 | 95.6 | 83.3 | |
| CV / % | 10.9 | 5.6 | 2.1 | 19.9 | 117.6 | 10.0 | 2.4 | |
| 甬优17 YY17 | 对照CK | 342.0 a | 181.8 a | 272.3 a | 160.3 a | -69.8 d | 90.5 b | 80.9 a |
| S1 | 300.3 b | 167.2 b | 251.5 c | 133.1 b | -48.8 c | 84.3 c | 80.1 a | |
| S2 | 276.1 c | 151.9 c | 260.3 b | 124.2 c | -15.8 a | 108.4 a | 80.5 a | |
| S3 | 278.8 c | 145.7 c | 251.9 c | 133.1 b | -26.9 b | 106.3 a | 78.9 a | |
| 平均Average | 299.3 | 161.6 | 259.0 | 137.7 | -40.3 | 97.4 | 80.1 | |
| CV / % | 10.2 | 10.0 | 3.8 | 11.4 | 59.4 | 12.1 | 1.1 | |
| 甬优538 YY538 | 对照CK | 247.5 a | 164.9 a | 264.8 a | 82.6 a | 17.3 d | 99.8 b | 85.7 a |
| S1 | 219.9 bc | 147.2 bc | 258.3 ab | 72.8 b | 38.4 b | 111.2 a | 85.4 a | |
| S2 | 204.5 c | 140.8 c | 249.1 b | 63.8 c | 44.6 a | 108.3 a | 87.3 a | |
| S3 | 232.8 b | 158.3 ab | 258.5 ab | 74.6 b | 25.7 c | 100.3 b | 81.7 a | |
| 平均Average | 226.2 | 152.8 | 257.7 | 73.4 | 31.5 | 104.9 | 85.0 | |
| CV / % | 8.1 | 7.1 | 2.5 | 10.5 | 39.2 | 5.5 | 2.8 | |
| 浙粳88 ZJ88 | 对照CK | 233.8 a | 165.0 ab | 257.7 b | 68.9 a | 23.9 c | 92.8 ab | 74.5 b |
| S1 | 237.3 a | 171.7 a | 269.9 a | 65.7 a | 32.6 b | 98.3 a | 84.0 a | |
| S2 | 205.3 b | 140.0 c | 228.1 d | 65.3 a | 22.8 c | 88.1 b | 77.3 b | |
| S3 | 205.9 b | 159.9 b | 247.4 c | 46.0 b | 41.5 a | 87.5 b | 73.8 b | |
| 平均Average | 220.6 | 159.1 | 250.8 | 61.5 | 30.2 | 91.6 | 77.4 | |
| CV / % | 7.9 | 8.6 | 7.1 | 17.0 | 28.8 | 5.4 | 6.0 |
表3 花后低温对不同类型水稻精米淀粉RVA谱特征值的影响
Table 3 Effects of low temperature after flowering on RVA parameters of different type rice.
| 品种 Variety | 处理时段 Treatment period | 峰值黏度 PV / RVU | 热浆黏度 HPV / RVU | 冷胶黏度 CPV / RVU | 崩解值 BD / RVU | 回复值 SB / RVU | 消减值 CT / RVU | 糊化温度 PaT / ℃ |
|---|---|---|---|---|---|---|---|---|
| 中浙优1号 ZZY1 | 对照CK | 302.0 a | 158.0 a | 235.2 b | 152.2 a | -66.8 c | 85.3 c | 81.6 b |
| S1 | 274.3 b | 150.6 a | 244.0 ab | 123.8 b | -30.3 b | 93.4 b | 82.5 b | |
| S2 | 230.6 c | 138.5 b | 247.0 a | 92.1 c | 16.4 a | 108.5 a | 86.1 a | |
| S3 | 276.1 ab | 144.7 ab | 240.0 ab | 131.4 b | -36.1 b | 95.3 b | 82.9 b | |
| 平均Average | 270.8 | 147.9 | 241.6 | 124.9 | -29.2 | 95.6 | 83.3 | |
| CV / % | 10.9 | 5.6 | 2.1 | 19.9 | 117.6 | 10.0 | 2.4 | |
| 甬优17 YY17 | 对照CK | 342.0 a | 181.8 a | 272.3 a | 160.3 a | -69.8 d | 90.5 b | 80.9 a |
| S1 | 300.3 b | 167.2 b | 251.5 c | 133.1 b | -48.8 c | 84.3 c | 80.1 a | |
| S2 | 276.1 c | 151.9 c | 260.3 b | 124.2 c | -15.8 a | 108.4 a | 80.5 a | |
| S3 | 278.8 c | 145.7 c | 251.9 c | 133.1 b | -26.9 b | 106.3 a | 78.9 a | |
| 平均Average | 299.3 | 161.6 | 259.0 | 137.7 | -40.3 | 97.4 | 80.1 | |
| CV / % | 10.2 | 10.0 | 3.8 | 11.4 | 59.4 | 12.1 | 1.1 | |
| 甬优538 YY538 | 对照CK | 247.5 a | 164.9 a | 264.8 a | 82.6 a | 17.3 d | 99.8 b | 85.7 a |
| S1 | 219.9 bc | 147.2 bc | 258.3 ab | 72.8 b | 38.4 b | 111.2 a | 85.4 a | |
| S2 | 204.5 c | 140.8 c | 249.1 b | 63.8 c | 44.6 a | 108.3 a | 87.3 a | |
| S3 | 232.8 b | 158.3 ab | 258.5 ab | 74.6 b | 25.7 c | 100.3 b | 81.7 a | |
| 平均Average | 226.2 | 152.8 | 257.7 | 73.4 | 31.5 | 104.9 | 85.0 | |
| CV / % | 8.1 | 7.1 | 2.5 | 10.5 | 39.2 | 5.5 | 2.8 | |
| 浙粳88 ZJ88 | 对照CK | 233.8 a | 165.0 ab | 257.7 b | 68.9 a | 23.9 c | 92.8 ab | 74.5 b |
| S1 | 237.3 a | 171.7 a | 269.9 a | 65.7 a | 32.6 b | 98.3 a | 84.0 a | |
| S2 | 205.3 b | 140.0 c | 228.1 d | 65.3 a | 22.8 c | 88.1 b | 77.3 b | |
| S3 | 205.9 b | 159.9 b | 247.4 c | 46.0 b | 41.5 a | 87.5 b | 73.8 b | |
| 平均Average | 220.6 | 159.1 | 250.8 | 61.5 | 30.2 | 91.6 | 77.4 | |
| CV / % | 7.9 | 8.6 | 7.1 | 17.0 | 28.8 | 5.4 | 6.0 |
| [1] | Huang M, Jiang L G, Zou Y B, Zhang W X.On-farm assessment of effect of low temperature at seedling stage onearly-season rice quality.Field Crops Res, 2013, 141: 63-68. |
| [2] | 邓飞, 王丽, 叶德成, 任万军, 杨文钰. 生态条件及栽培方式对稻米RVA谱特性及蛋白质含量的影响. 作物学报, 2012, 38(4): 717-724. |
| Deng F, Wang L, Ye D C, Ren W J, Yang W Y.Effects of ecological conditions and cultivation methods on rice starch RVA profile characteristics and protein content. Acta Agron Sin, 2012, 38(4): 717-724. (in Chinese with English abstract) | |
| [3] | Asaoka M.Effect of environment temperature at the milky stage on amylose content and fine structure of amylopentin of waxy and nonwaxy endosperm starches of rice.Agric Biol Chem, 1985, 49: 373-378. |
| [4] | Krishnan P, Swain D K, Bhaskar B C, Nayak S K, Dash R N.Impact of elevated CO2 and temperature on rice yield and methods of adaptation as evaluated by crop simulation studies. Agr Ecosyst Environ, 2007, 122: 233-242. |
| [5] | 王连敏, 王立志, 李忠杰, 王春艳, 刘功, 杨新春. 灌浆阶段低温对寒地水稻碾米及外观品质的影响. 黑龙江农业科学, 2005, (6): 1-4. |
| Wang L M, Wang L Z, Li Z J, Wang C Y, Liu G, Yang X C.Effect of low temperature during grain filling stage on milling and appearance quality of rice in cold region.Heilongjiang Agric Sci, 2005, (6): 1-4. (in Chinese with English abstract) | |
| [6] | 林洪鑫, 胡启锋, 肖宇龙, 余传源, 何虎, 黄国娟. 寒露风对双季晚稻品种产量构成和品质的影响. 江西农业学报, 2016, 28(5): 20-23. |
| Lin H X, Hu Q F, Xiao Y L, Yu C Y, He H, Huang G J.Effect of cold dew wind on quality, yield and yield components of double cropping late rice varieties.Acta Agric Jiangxi, 2016, 28(5): 20-23. (in Chinese with English abstract) | |
| [7] | Chen C, Huang J L, Zhu L Y, Shah F, Nie L X, Cui K H, Peng S B.Varietal difference in the response of rice chalkiness to temperature during ripening phase across different sowing dates. Field Crops Res, 2013, 151: 85-91. |
| [8] | 包劲松. 应用RVA测定米粉淀粉成糊温度. 中国水稻科学, 2007, 21(5): 543-546. |
| Bao J S.Accurate measurement of pasting temperature of rice flour by a rapid visco-analyser. Chin J Rice Sci, 2007, 21(5): 543-546. (in Chinese with English abstract) | |
| [9] | 贾良, 丁雪云, 王平荣, 邓晓建. 稻米淀粉RVA谱特征及其与理化品质性状相关性的研究. 作物学报, 2008, 34(5): 790-794. |
| Jia L, Ding X Y, Wang P R, Deng X J.Rice RVA profile characteristics and correlation with the physical/chemical quality. Acta Agron Sin, 2008, 34(5): 790-794 (in Chinese with English abstract) | |
| [10] | 王士强, 宋晓慧, 赵海红, 孙明明, 萧长亮, 顾春梅, 那永光, 解保胜, 曹立勇, 程式华. 孕穗期低温胁迫对寒地水稻产量和品质的影响. 农业现代化研究, 2016, 37(3): 579-586. |
| Wang S Q, Song X H, Zhao H H, Sun M M, Xiao C L, Gu C M, Na Y G, Xie B S, Cao L Y, Cheng S H.Effect of cold stress at booting stage on rice yield and quality in the cold region.Res Agric Moder, 2016, 37(3): 579-586 (in Chinese with English abstract) | |
| [11] | 朱振华, 金基永, 袁平荣, 赵国珍, 苏振喜, 世荣, 邹茜, 杨世准, 戴陆园. 不同海拔条件下耐冷性粳稻品种的稻米淀粉RVA谱特性. 中国水稻科学, 2010, 24(2):151-156. |
| Zhu Z H, Jin J Y, Yuan P R, Zhao G Z, Su Z X, Shi R, Zou Q, Yang S J, Dai L Y.RVA profile properties for cold tolerant and sensitive cultivars of japonica rice at different altitudes in highland region.Chin J Rice Sci, 2010, 24(2): 151-156. (in Chinese with English abstract) | |
| [12] | 李刚, 邓其明, 李双成, 王世全, 李平. 稻米淀粉RVA 谱特征与品质性状的相关性. 中国水稻科学, 2009, 23(1): 99-102. |
| Li G, Deng Q M, Li S C, Wang S Q, Li P.Correlation analysis between RVA profile characteristics and quality in rice.Chin J Rice Sci, 2009, 23(1): 99-102.(in Chinese with English abstract) | |
| [13] | Ahmed N, Maekawa M, Tetlow I J.Effects of low temperature on grain filling, amylose content, and activity of starch biosynthesis enzymes in endosperm of basmati rice.Aust J Agr Res, 2008, 59: 599-604. |
| [14] | Mariani L, Parisi S G, Cola G.Space and time behavior of climatic hazard of low temperature for single rice crop in the mid latitude.Int J Clim, 2009, 29: 1862-1871 |
| [15] | 花劲, 周年兵, 张军, 张洪程, 霍中洋, 周培建, 程飞虎, 李国业, 黄大山, 陈忠平, 陈国梁, 戴其根, 许轲, 魏海燕, 高辉, 郭保卫. 双季晚稻甬优系列籼粳杂交稻超高产结构与群体形成特征. 中国农业科学, 2015, 48(5): 1023-1034. |
| Hua J, Zhou N B, Zhang J, Zhang H C, Huo Z Y, Zhou P J, Cheng F H, Li G Y, Huang D S, Chen Z P, Chen G L, Dai Q G, Xu K, Wei H Y, Gao H, Guo B W.The structure and formation characteristics of super-high yield population with late yongyou series of indica-japonica hybrid rice in double-cropping rice area. Sci Agric Sin, 2015, 48(5): 1023-1034. (in Chinese with English abstract) | |
| [16] | 姜元华, 许俊伟, 赵可, 韦还和, 孙建军, 张洪程, 戴其根, 霍中洋, 许轲, 魏海燕, 郭保卫. 甬优系列籼粳杂交稻根系形态与生理特征. 作物学报, 2015, 41(1): 89-99. |
| Jiang Y H, Xu J W, Zhao K, Wei H H, Sun J J, Zhang H C, Dai Q G, Huo Z Y, Xu K, Wei H Y, Guo B W.Root system morphological and physiological characteristics ofIndica-japonica hybrid rice of yongyou series. Acta Agron Sin, 2015, 41(1): 89-99. (in Chinese with English abstract) | |
| [17] | 曾研华, 张玉屏, 王亚梁, 向镜, 陈惠哲, 朱德峰. 甬优系列杂交稻组合开花期耐冷性评价. 中国水稻科学, 2015, 29(3): 291-298. |
| Zeng Y H, Zhang Y P, Wang Y L, Xiang J, Chen H Z, Zhu D F.Evaluation of chilling resistance in Yongyou series of hybrid rice at flowering stage. Chin J Rice Sci, 2015, 29(3): 291-298 (in Chinese with English abstract) | |
| [18] | American Association of Cereal Chemistry (AACC). Methods 61-02 for RVA. Approved Methods of the AACC. 9th ed. St. Paul, M N: The AACC Association, 1995 |
| [19] | 吴殿星, 舒庆尧, 夏英武. 利用RVA谱快速鉴别不同表观直链淀粉含量早籼稻的淀粉粘滞特性. 中国水稻科学, 2001, 15(1): 57-59. |
| Wu D X, Shu Q Y, Xia Y W.Rapid identification of starch viscosity property of early indica rice varieties with different apparent amylose content by RVA profile. Chin J Rice Sci, 2001, 15(1): 57-59. (in Chinese with English abstract) | |
| [20] | 中华人民共和国农业部. 米质测定方法: NY/147–1988. 北京:中国标准出版社,1988. |
| Ministry of Agriculture, People's Republic of China. The Standard for the Method of the Rice Quality Determination: NY/147–1988.Beijing: China Standards Press,1988. (in Chinese) | |
| [21] | 张荣萍. 灌浆前期低温胁迫对籼粳稻产量和品质的影响. 江苏农业科学, 2015, 43(8): 63-68 |
| Zhang R P.Effect of low temperature during early grain filling stage on grain yield and quality in indica and japonica rice.Jiangsu Agric Sci, 2015, 43(8): 63-68 (in Chinese with English abstract) | |
| [22] | Lanning S B, Siebenmorgen T J, Counce P A, Ambardekar A, Mauromoustakos A.Extreme nighttime air temperatures in 2010 impact rice chalkiness and milling quality.Field Crops Res, 2011, 124: 132-136 |
| [23] | Ambardekar A A, Siebenmorgen T J, Counce P A, Lanning S B, Mauromoustakos A.Impact of field-scale nighttime air temperatures during kernel development on rice milling quality.Field Crops Res, 2011, 122: 179-185 |
| [24] | Bao J S, Shen S Q, Xie J K.A study on the improvement of eating quality of early indica rice with the assistance of RVA.Mol Plant Breeding, 2004, 2(1):49-53. |
| [25] | 赵国珍, Yang Sea-jun, Yea Jong-doo, 袁平荣, 朱振华, 苏振喜, 戴陆园. 冷水胁迫对云南粳稻育成品种农艺性状的影响. 云南农业大学学报, 2010, 25(2): 158-165. |
| Zhao G Z, Yang S J, Yea J D, Yuan P R, Zhu Z H, Su Z X, Dai L Y.Effect of cold water irrigation on agronomic traits of improved japonica rice cultivars from Yunnan Province,China.J Yunnan Agric Univ, 2010, 25(2): 158-165. (in Chinese with English abstract) | |
| [26] | Yuji M, Koji O, Michikazu H.Differences in amylase content, amylographic characteristics and storage proteins of grain on primary and secondary rachis branches in rice.Jpn J Crop Sci, 1995, 64(3): 601-606. |
| [27] | Lim S J.Varietal variation of amylogram properties and its relationship with other eating quality characteristics in rice.Jpn J Crop Sci, 1995, 27(3): 268-275. |
| [28] | 蔡一霞, 朱庆森, 徐伟, 王维, 杨建昌, 张祖建, 郎有忠. 结实期水分胁迫对水稻强、弱势粒主要米质性状及淀粉粘滞谱特征的影响. 作物学报, 2004,30(3): 241-247. |
| Cai Y X, Zhu Q S, Xu W, Wang W, Yang J C, Zhang Z J, Lang Y Z.Effects of water stress on the main characters of superior and inferior grains quality and the properties of RVA profile during grain-filling stage.Acta Agron Sin, 2004, 30(3): 241-247. (in Chinese with English abstract) | |
| [29] | 龚金龙, 邢志鹏, 胡雅杰, 张洪程, 戴其根, 霍中洋, 许轲, 魏海燕, 高辉. 籼、粳超级稻主要品质性状和淀粉RVA谱特征的差异研究. 核农学报, 2015, 29(7): 1374-1385. |
| Gong J L, Xing Z P, Hu Y J, Zhang H C, Dai Q G, Huo Z Y, Xu K, Wei H Y, Gao H.Difference of main quality traits and RVA profile characteristics of starch between indica and japonica super rice.J Nuclear Agric Sci, 2015, 29(7): 1374-1385. (in Chinese with English abstract) | |
| [30] | 袁莉民, 常二华, 徐伟, 王志琴, 杨建昌. 结实期低温对杂交水稻胚乳结构的影响. 作物学报, 2006, 32(1): 96-102. |
| Yuan L M, Chang E H, Xu W, Wang Z Q, Yang J C.Effects of low temperature during grain filling on the structure of endosperm in hybrid rice. Acta Agron Sin, 2006, 32(1): 96-102. (in Chinese with English abstract) |
| [1] | 陈明亮, 曾细华, 沈雨民, 罗世友, 胡兰香, 熊文涛, 熊焕金, 吴小燕, 肖叶青. 籼粳亚种间育性位点分型及籼粳杂交稻育性位点模式研究[J]. 中国水稻科学, 2024, 38(4): 386-396. |
| [2] | 易晓璇, 刘玮琦, 曾盖, 罗丽华, 肖应辉. 灌浆期高温胁迫对早籼稻品质性状的影响[J]. 中国水稻科学, 2024, 38(1): 72-80. |
| [3] | 吴玉红, 李艳华, 王吕, 秦宇航, 李杉杉, 郝兴顺, 张庆路, 崔月贞, 肖飞. 陕南稻区紫云英稻草联合还田配施减量氮肥协同提升水稻产量与稻米品质[J]. 中国水稻科学, 2023, 37(6): 628-641. |
| [4] | 杨晓龙, 王彪, 汪本福, 张枝盛, 张作林, 杨蓝天, 程建平, 李阳. 不同水分管理方式对旱直播水稻产量和稻米品质的影响[J]. 中国水稻科学, 2023, 37(3): 285-294. |
| [5] | 杨陶陶, 邹积祥, 伍龙梅, 包晓哲, 江瑜, 张楠, 张彬. 开放式增温对华南双季稻稻米品质的影响[J]. 中国水稻科学, 2023, 37(1): 66-77. |
| [6] | 景文疆, 顾汉柱, 张小祥, 吴昊, 张伟杨, 顾骏飞, 刘立军, 王志琴, 杨建昌, 张耗. 中籼水稻品种改良过程中米质和根系特征对灌溉方式的响应[J]. 中国水稻科学, 2022, 36(5): 505-519. |
| [7] | 杨晨, 郑常, 袁珅, 徐乐, 彭少兵. 再生稻肥料管理对不同品种产量和品质的影响[J]. 中国水稻科学, 2022, 36(1): 65-76. |
| [8] | 闫浩亮, 王松, 王雪艳, 党程成, 周梦, 郝蓉蓉, 田小海. 不同水稻品种在高温逼熟下的表现及其与气象因子的关系[J]. 中国水稻科学, 2021, 35(6): 617-628. |
| [9] | 唐先干, 谢金水, 徐昌旭, 刘佳, 袁福生, 刘光荣, 李祖章. 红壤性稻田紫云英与化肥减施对早稻品质与养分吸收的影响[J]. 中国水稻科学, 2021, 35(5): 466-474. |
| [10] | 王亚梁, 朱德峰, 陈惠哲, 张玉屏, 向镜, 王志刚, 张义凯. 籼粳杂交稻精准条播育秧机插减氮增产的效应研究[J]. 中国水稻科学, 2021, 35(5): 495-502. |
| [11] | 王志东, 陈宜波, 龚蓉, 周少川, 王重荣, 李宏, 黄道强, 周德贵, 赵雷, 潘阳阳, 杨义强, 李晓芳. 优质籼稻剑叶SPAD值与稻米品质相关性研究[J]. 中国水稻科学, 2021, 35(1): 89-97. |
| [12] | 文春燕, 熊运华, 姚晓云, 陈春莲, 胡标林, 黄永萍, 吴延寿. 氮肥施用对米粉专用稻产量、米质及加工特性的影响[J]. 中国水稻科学, 2020, 34(6): 574-585. |
| [13] | 汪浩, 刘祥臣, 张强, 余贵龙, 张文地, 黄健, 朱安, 刘立军. 豫南地区头季和再生季水稻产量与品质差异分析[J]. 中国水稻科学, 2020, 34(5): 425-434. |
| [14] | 陈专专, 杨勇, 冯琳皓, 孙晔, 张昌泉, 范晓磊, 李钱峰, 刘巧泉. Wx与ALK主要等位基因不同组合对稻米品质的影响[J]. 中国水稻科学, 2020, 34(3): 228-236. |
| [15] | 孟天瑶, 葛佳琳, 张徐彬, 韦还和, 周桂生, 戴其根. 甬优中熟籼粳杂交稻栽后植株磷素积累特征与模型分析[J]. 中国水稻科学, 2020, 34(3): 256-265. |
| 阅读次数 | ||||||
|
全文 |
|
|||||
|
摘要 |
|
|||||