中国水稻科学 ›› 2015, Vol. 29 ›› Issue (2): 167-173.DOI: 10.3969/j.issn.1001-7216.2015.02.008

• • 上一篇    下一篇

籼粳稻杂交后代蒸煮食味品质与亚种分化的关系

张佳1,2,#, 程海涛1,#, 徐海1, 夏英俊1, 刘春香1, 徐正进1,*()   

  1. 1 沈阳农业大学 水稻研究所/农业部东北水稻生物学与遗传育种重点实验室/北方超级粳稻育种教育部重点实验室, 沈阳 110866
    2 辽宁省农业机械化技术推广总站, 沈阳 110034
  • 收稿日期:2014-02-13 修回日期:2014-06-10 出版日期:2015-03-10 发布日期:2015-03-10
  • 通讯作者: 徐正进
  • 基金资助:
    国家自然科学基金资助项目(31371587)

Relationship Between Cooking-eating Quality and Subspecies Differentiation in RILs Population from indica and japonica Crossing

Jia ZHANG1,2,#, Hai-tao CHENG1,#, Hai XU1, Ying-jun XIA1, Chun-xiang LIU1, Zheng-jin XU1,*()   

  1. 1Rice Research Institute, Shenyang Agricultural University/Key Laboratory of Rice Biology and Breeding, Ministry of Agriculture/Key Laboratory of Northern Japonica Super Rice Breeding, Ministry of Education, Shenyang 110866, China
    2Liaoning Province Agricultural Mechanization Technology Extending Organization, Shenyang 110034, China
  • Received:2014-02-13 Revised:2014-06-10 Online:2015-03-10 Published:2015-03-10
  • Contact: Zheng-jin XU

摘要:

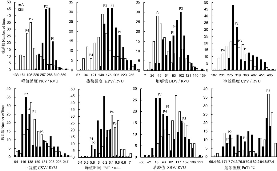
以2个典型籼粳稻杂交重组自交系F8群体(中优早8号×丰锦,计158株系;七山占×秋光,计142株系)为试材,利用程氏指数法鉴别其籼粳属性,同时测定稻米食味品质及淀粉RVA特征值,分析籼粳杂交后代稻米蒸煮食味品质与籼粳亚种性状特征的关系。结果表明:1)2个群体程氏指数、口感、综合评分及RVA谱特征值均呈连续分布,大部分株系介于双亲值之间;2)程氏指数与口感、综合评分及各RVA谱特征值的相关不显著或相关系数较小,依据程氏指数划分的类型间口感、综合评分及RVA谱特征值无明显差异,说明籼粳分化对稻米食味品质无直接影响;3)随着口感改善和综合评分的提高,热浆黏度、冷胶黏度、消减值降低、回复值升高,其他RVA谱特征值变化规律性不明显。

关键词: 水稻, 籼粳稻杂交, 亚种属性, 程氏指数, 食味品质, RVA谱

Abstract:

Two recombinant inbred lines(RILs) populations, one derived from the cross between Zhongyouzao 8(indica) and Toyonishiki(japonica), the other derived from the cross between Qishanzhan(indica) and Akihikari(japonica), were used to identify indica-japonica subspecies differentiation of hybrids by Cheng’s index method and to determine the eating quality and RVA profile characteristic value of rice, to analyze the relationship between cooking-eating quality and subspecies differentiation in RILs populations from indica-japonica crossing. The number of lines from Zhongyouzao 8/Toyonishiki and Qishanzhan/Akihikari are 158 and 142,respectively. The results showed that: 1) Cheng’s index, taste, comprehensive score and RVA characteristics of the two RILs populations followed a continuous distribution, with most lines being mid-parent type. 2) There were insignificant correlations or low correlation coefficients between Cheng’s index and taste, comprehensive score, RVA characteristics. There were insignificant differences among taste, comprehensive score and RVA characteristics for different subspecies based on Cheng’s index. It showed that indica-japonica differentiation had no direct influence on cooking-eating quality. 3) With the rising taste and comprehensive score, hot paste viscosity, cool paste viscosity, setback viscosity, consistence viscosity decreased and breakdown viscosity increased, other RVA characteristics did not change obviously.

Key words: rice, indica and japonica crossing, subspecies differentiation, Cheng’s index, eating quality, RVA profile

中图分类号: