中国水稻科学 ›› 2026, Vol. 40 ›› Issue (2): 196-209.DOI: 10.16819/j.1001-7216.2026.250411

• 研究报告 • 上一篇    下一篇

AP2转录因子OsERF34正向调控水稻种子休眠

杜志敏1,2,#, 贾一楠1,#, 段影青2, 曹妮2, 马刘洋2, 董欣丽2, 徐海1, 焦桂爱2, 唐绍清2,*(), 胡培松2,*()   

  1. 1沈阳农业大学,沈阳 110011
    2中国水稻研究所,杭州 311401
  • 收稿日期:2025-04-24 修回日期:2025-06-03 出版日期:2026-03-10 发布日期:2026-03-16
  • 通讯作者: * email: tangshaoqing@caas.cn; peisonghu@126.com
  • 作者简介:#共同第一作者
  • 基金资助:
    国家自然科学基金面上项目(32172080);国家自然科学基金基础科学中心项目(32188102)

AP2 Transcription Factor OsERF34 Positively Regulates Seed Dormancy in Rice

DU Zhimin1,2,#, JIA Yinan1,#, DUAN Yingqing2, CAO Ni2, MA Liuyang2, DONG Xinli2, XU Hai1, JIAO Guiai2, TANG Shaoqing2,*(), HU Peisong2,*()   

  1. 1Shenyang Agricultural University, Shenyang 110011, China
    2China National Rice Research Institute, Hangzhou 311401, China
  • Received:2025-04-24 Revised:2025-06-03 Online:2026-03-10 Published:2026-03-16
  • Contact: * email: tangshaoqing@caas.cn; peisonghu@126.com
  • About author:#These authors contributed equally to the work;

摘要:

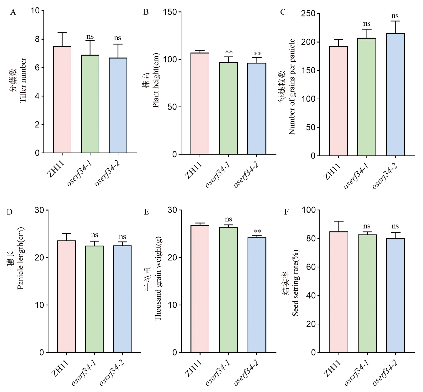
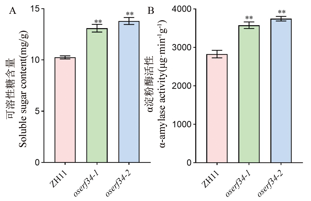
【目的】水稻种子休眠性变弱会导致收获前穗发芽(PHS),严重影响水稻的产量与品质,因而研究水稻种子休眠性的遗传调控机制至关重要。【方法】以中花11为背景通过CRISPR/Cas9技术创制水稻AP2/ERF转录因子OsERF34功能缺失突变体,结合转录组、激素代谢组及生理生化分析,解析其调控种子休眠的分子途径。【结果】发现oserf34突变体种子穗发芽严重,休眠性极显著减弱。转录组分析显示,oserf34与野生型之间差异表达基因(DEGs)显著富集于植物激素信号转导、ROS代谢及糖酵解通路,表明OsERF34可能通过调控激素合成与代谢、氧化还原平衡及糖代谢,维持种子休眠状态。进一步研究发现,oserf34突变体种子中生长素(IAA)、赤霉素(GA19/GA20)及水杨酸(SA)含量显著升高,而ROS清除剂脯氨酸含量降低,过氧化氢(H2O2)和超氧阴离子积累加剧,同时抗氧化酶(SOD、POD、CAT)活性上调。此外,突变体胚乳中可溶性糖含量和α-淀粉酶活性显著升高,为打破休眠提供能量基础。【结论】OsERF34通过参与激素合成与代谢、氧化还原平衡及糖代谢正向调控水稻种子休眠,为解析水稻种子休眠与萌发分子机制及创制抗穗发芽水稻新品种提供了新的理论依据与遗传资源。

关键词: 穗发芽, 休眠, 激素代谢组, 活性氧, 可溶性糖, α-淀粉酶

Abstract:

【Objective】 Weakened seed dormancy in rice leads to pre-harvest sprouting (PHS), which severely impacts grain yield and quality, making it crucial to investigate the genetic regulatory mechanisms underlying rice seed dormancy. 【Method】We generated loss-of-function mutants of the AP2/ERF transcription factor OsERF34 in the Zhonghua 11 (ZH11) background using CRISPR/Cas9 technology. 【Result】 The oserf34 mutants exhibited severe pre-harvest sprouting and significantly reduced seed dormancy. Transcriptome analysis revealed that differentially expressed genes (DEGs) between oserf34 and the wild type were significantly enriched in plant hormone signal transduction, ROS metabolism, and glycolytic pathways, suggesting that OsERF34 may maintain seed dormancy by regulating hormone biosynthesis/metabolism, redox homeostasis, and carbohydrate metabolism. Further investigation demonstrated that the oserf34 mutant seeds showed substantially increased levels of auxin (IAA), gibberellins (GA19/GA20), and salicylic acid (SA), along with decreased proline content and elevated hydrogen peroxide (H2O2) and superoxide anion level. Meanwhile, the activities of antioxidant enzymes (SOD, POD, CAT) were upregulated. Additionally, the mutant endosperm exhibited significantly elevated soluble sugar content and α-amylase activity, providing an energy foundation for dormancy release. This study demonstrates that OsERF34 positively regulates rice seed dormancy through its involvement in hormone biosynthesis/metabolism, redox homeostasis regulation, and carbohydrate metabolism. 【Conclusion】 These findings provide novel theoretical insights and genetic resources for deciphering the molecular mechanisms of seed dormancy and germination, as well as for developing PHS-resistant rice varieties.

Key words: pre-harvest sprouting, dormancy, hormone metabolome, reactive oxygen species, soluble sugars, α-amylase