
中国水稻科学 ›› 2018, Vol. 32 ›› Issue (4): 405-414.DOI: 10.16819/j.1001-7216.2018.7116
• • 上一篇
马鹏鹏1, 周爱明1, 姚青1,*(
), 杨保军2, 唐健2,*(
), 潘修强3
收稿日期:2017-09-21
修回日期:2017-12-17
出版日期:2018-07-10
发布日期:2018-07-10
通讯作者:
姚青,唐健
基金资助:
Pengpeng MA1, Aiming ZHOU1, Qing YAO1,*(
), Baojun YANG2, Jian TANG2,*(
), Xiuqiang PAN3
Received:2017-09-21
Revised:2017-12-17
Online:2018-07-10
Published:2018-07-10
Contact:
Qing YAO, Jian TANG
摘要: 【目的】在传统的模式识别分类中,从大量的干扰物体中识别出目标物体,图像特征参数的选择和不同训练样本数量的比例对目标物体的识别结果有着较大的影响。研究的目的在于明晰不同的图像特征和样本量对水稻灯诱害虫识别结果的影响。【方法】根据5种目标害虫体型大小,将水稻灯诱昆虫分成大型昆虫和小型昆虫。研究水稻昆虫图像的全局特征、局部特征和不同特征融合对水稻目标害虫识别结果的影响;研究基于小样本条件,选择不同训练样本比例对水稻目标害虫识别结果的影响。【结果】当非目标昆虫样本量约为目标害虫样本量的4倍时,基于全局特征和HOG特征融合训练得到的支持向量机分类器识别水稻3种大型害虫,可获得91.4%的识别率和8.6%的误检率;当非目标昆虫样本量约为目标害虫样本量的2倍左右时,基于全局特征的支持向量机分类器识别水稻2种小型害虫,可获得94.9%的识别率和4.9%的误检率。【结论】针对小样本数据,从大量非目标中识别出目标物体,选择合适的特征和设置合理的训练样本比例可获得较好的目标识别结果。
中图分类号:
马鹏鹏, 周爱明, 姚青, 杨保军, 唐健, 潘修强. 图像特征和样本量对水稻害虫识别结果的影响[J]. 中国水稻科学, 2018, 32(4): 405-414.
Pengpeng MA, Aiming ZHOU, Qing YAO, Baojun YANG, Jian TANG, Xiuqiang PAN. Influence of Image Features and Sample Sizes on Rice Pest Identification[J]. Chinese Journal OF Rice Science, 2018, 32(4): 405-414.
图1 水稻灯诱昆虫图像 A–大型非目标昆虫;B–小型非目标昆虫;C–大螟背面;D–大螟腹面;E–二化螟背面;F–二化螟腹面;G–稻纵卷叶螟背面;H–稻纵卷叶螟腹面;I–白背飞虱;J–褐飞虱。
Fig. 1. Rice light-trapped insect images. A, Big non-target insects; B, Small non-target insects; C, Back image of Sesamia inferens; D, Abdomen image of Sesamia inferens; E, Back image of Chilo suppressalis; F, Abdomen image of Chilo suppressalis; G, Back image of Cnaphalocrocis medinalis; H, Abdomen image of Cnaphalocrocis medinalis; I, Sogatella furcifera; J, Nilaparvata lugens.
| 样本分类 Material category | 昆虫种类 Insect species | 昆虫姿态 Insect posture | 用于训练的样本最大数 Max sample size of training images | 测试样本数 Sample size of testing images | |
|---|---|---|---|---|---|
| 大型昆虫 Big insects | 大螟 Sesamia inferens | 背面Back image | 330 | 140 | |
| 腹面Abdomen image | 428 | ||||
| 稻纵卷叶螟 Cnaphalocrocis medinalis | 背面Back image | 355 | 140 | ||
| 腹面Abdomen image | 364 | ||||
| 二化螟 Chilo suppressalis | 背面Back image | 355 | 140 | ||
| 腹面Abdomen image | 364 | ||||
| 大型非目标昆虫Big non-target insects | 5800 | 140 | |||
| 小型昆虫 Small insects | 白背飞虱Sogatella furcifera | 侧面Lateral image | 3200 | 215 | |
| 褐飞虱Nilaparvata lugens | 侧面Lateral image | 800 | 215 | ||
| 小型非目标昆虫Small non-target insects | 6000 | 215 | |||
表1 可用于训练和测试分类器的昆虫图像样本量
Table 1 Sample sizes of training and testing insect images.
| 样本分类 Material category | 昆虫种类 Insect species | 昆虫姿态 Insect posture | 用于训练的样本最大数 Max sample size of training images | 测试样本数 Sample size of testing images | |
|---|---|---|---|---|---|
| 大型昆虫 Big insects | 大螟 Sesamia inferens | 背面Back image | 330 | 140 | |
| 腹面Abdomen image | 428 | ||||
| 稻纵卷叶螟 Cnaphalocrocis medinalis | 背面Back image | 355 | 140 | ||
| 腹面Abdomen image | 364 | ||||
| 二化螟 Chilo suppressalis | 背面Back image | 355 | 140 | ||
| 腹面Abdomen image | 364 | ||||
| 大型非目标昆虫Big non-target insects | 5800 | 140 | |||
| 小型昆虫 Small insects | 白背飞虱Sogatella furcifera | 侧面Lateral image | 3200 | 215 | |
| 褐飞虱Nilaparvata lugens | 侧面Lateral image | 800 | 215 | ||
| 小型非目标昆虫Small non-target insects | 6000 | 215 | |||
| 特征参数 Feature | 大型目标害虫 Big pests | 小型目标害虫 Small pests | |||
|---|---|---|---|---|---|
| 识别率 Identification rate | 误检率 False detection rate | 识别率 Identification rate | 误检率 False detection rate | ||
| 颜色 Color | 52.9 | 18.4 | 87.7 | 14.9 | |
| 形态 Shape | 75.9 | 15.6 | 84.2 | 19.7 | |
| 纹理 Texture | 45.7 | 28.6 | 72.3 | 17.9 | |
| 颜色+形态 Color+Shape | 88.6 | 11.0 | 93.1 | 6.9 | |
| 颜色+纹理 Color+Texture | 73.8 | 13.2 | 91.6 | 7.3 | |
| 形态+纹理 Shape+Texture | 83.6 | 12.1 | 90.2 | 6.5 | |
| 颜色+形态+纹理 Color+Shape+Texture | 90.5 | 8.4 | 94.9 | 4.9 | |
表2 不同全局特征训练SVM分类器识别目标害虫的结果
Table 2 Identification results of target pests using support vector machine classifiers based on different global features. %
| 特征参数 Feature | 大型目标害虫 Big pests | 小型目标害虫 Small pests | |||
|---|---|---|---|---|---|
| 识别率 Identification rate | 误检率 False detection rate | 识别率 Identification rate | 误检率 False detection rate | ||
| 颜色 Color | 52.9 | 18.4 | 87.7 | 14.9 | |
| 形态 Shape | 75.9 | 15.6 | 84.2 | 19.7 | |
| 纹理 Texture | 45.7 | 28.6 | 72.3 | 17.9 | |
| 颜色+形态 Color+Shape | 88.6 | 11.0 | 93.1 | 6.9 | |
| 颜色+纹理 Color+Texture | 73.8 | 13.2 | 91.6 | 7.3 | |
| 形态+纹理 Shape+Texture | 83.6 | 12.1 | 90.2 | 6.5 | |
| 颜色+形态+纹理 Color+Shape+Texture | 90.5 | 8.4 | 94.9 | 4.9 | |
| 特征参数 Feature | 大型目标害虫 Big pests | 小型目标害虫 Small pests | |||
|---|---|---|---|---|---|
| 识别率 Identification rate | 误检率 False detection rate | 识别率 Identification rate | 误检率 False detection rate | ||
| HOG (Histograms of oriented gradients) | 87.6 | 5.4 | 87.9 | 8.3 | |
| LBP (Local binary pattern) | 23.1 | 9.7 | 63.3 | 17.3 | |
| Gabor | 72.9 | 6.9 | 86.4 | 8.9 | |
| 颜色+纹理+形态+HOG Color+Shape+Texture+HOG | 91.4 | 8.6 | 94.2 | 5.4 | |
表3 不同局部特征训练SVM分类器识别目标害虫的结果
Table 3 Identification results of target pests using support vector machine classifiers based on different local features. %
| 特征参数 Feature | 大型目标害虫 Big pests | 小型目标害虫 Small pests | |||
|---|---|---|---|---|---|
| 识别率 Identification rate | 误检率 False detection rate | 识别率 Identification rate | 误检率 False detection rate | ||
| HOG (Histograms of oriented gradients) | 87.6 | 5.4 | 87.9 | 8.3 | |
| LBP (Local binary pattern) | 23.1 | 9.7 | 63.3 | 17.3 | |
| Gabor | 72.9 | 6.9 | 86.4 | 8.9 | |
| 颜色+纹理+形态+HOG Color+Shape+Texture+HOG | 91.4 | 8.6 | 94.2 | 5.4 | |
| 大型非目标昆虫样本量 Sample size of big non-target insects | 平均识别率 Average identification rate | 平均误检率 Average false detection rate |
|---|---|---|
| 362 | 98.8 | 22.4 |
| 725 | 97.6 | 23.2 |
| 1086 | 98.4 | 21.1 |
| 1450 | 91.4 | 8.6 |
| 2200 | 89.8 | 12.3 |
| 2800 | 84.3 | 8.3 |
| 4350 | 81.2 | 6.8 |
| 5800 | 80.5 | 5.3 |
表4 不同训练样本比例对大型目标害虫识别的结果
Table 4 Identification results of big target pests in different training sample proportions. %
| 大型非目标昆虫样本量 Sample size of big non-target insects | 平均识别率 Average identification rate | 平均误检率 Average false detection rate |
|---|---|---|
| 362 | 98.8 | 22.4 |
| 725 | 97.6 | 23.2 |
| 1086 | 98.4 | 21.1 |
| 1450 | 91.4 | 8.6 |
| 2200 | 89.8 | 12.3 |
| 2800 | 84.3 | 8.3 |
| 4350 | 81.2 | 6.8 |
| 5800 | 80.5 | 5.3 |
| 样本量 Sample size | 平均识别率 Average identification rate/% | 平均误检率 Average false detection rate/% | ||
|---|---|---|---|---|
| 褐飞虱 Nilaparvata lugens | 白背飞虱 Sogatella furcifera | 小型非目标 Small non-target insects | ||
| 800 | 800 | 800 | 95.6 | 8.5 |
| 800 | 800 | 1600 | 94.9 | 4.9 |
| 800 | 800 | 2000 | 85.4 | 2.7 |
| 800 | 800 | 2400 | 80.7 | 2.8 |
| 800 | 1600 | 1600 | 92.6 | 7.1 |
| 800 | 1600 | 3200 | 83.9 | 5.2 |
| 800 | 3200 | 6000 | 75.1 | 6.9 |
表5 不同训练样本比例对小型目标害虫识别的结果
Table 5 Identification results of small target pests in different training sample proportions.
| 样本量 Sample size | 平均识别率 Average identification rate/% | 平均误检率 Average false detection rate/% | ||
|---|---|---|---|---|
| 褐飞虱 Nilaparvata lugens | 白背飞虱 Sogatella furcifera | 小型非目标 Small non-target insects | ||
| 800 | 800 | 800 | 95.6 | 8.5 |
| 800 | 800 | 1600 | 94.9 | 4.9 |
| 800 | 800 | 2000 | 85.4 | 2.7 |
| 800 | 800 | 2400 | 80.7 | 2.8 |
| 800 | 1600 | 1600 | 92.6 | 7.1 |
| 800 | 1600 | 3200 | 83.9 | 5.2 |
| 800 | 3200 | 6000 | 75.1 | 6.9 |
| 昆虫种类 Insect species | 分到各种昆虫中的样本数 Number of samples divided into different insects | 识别率 Identification rate/% | 误检率 False detection rate/% | |||
|---|---|---|---|---|---|---|
| 大螟 S. inferens | 稻纵卷叶螟 C. medinalis | 二化螟 C. suppressalis | 大型非目标昆虫 Big non-target insects | |||
| 大螟S. inferens | 128 | 0 | 3 | 9 | 91.4 | 7.9 |
| 稻纵卷叶螟C. medinalis | 0 | 131 | 1 | 8 | 93.6 | 11.5 |
| 二化螟C. suppressalis | 5 | 0 | 125 | 10 | 89.3 | 6.0 |
| 非目标大型昆虫Big non-target | 6 | 17 | 4 | 113 | 80.7 | 19.3 |
| 平均值 Average value | 91.4 | 8.6 | ||||
表6 在最优图像特征参数和训练样本比例下的水稻大型害虫识别结果
Table 6 Identification results of big rice pests with optimal image features and training sample proportion.
| 昆虫种类 Insect species | 分到各种昆虫中的样本数 Number of samples divided into different insects | 识别率 Identification rate/% | 误检率 False detection rate/% | |||
|---|---|---|---|---|---|---|
| 大螟 S. inferens | 稻纵卷叶螟 C. medinalis | 二化螟 C. suppressalis | 大型非目标昆虫 Big non-target insects | |||
| 大螟S. inferens | 128 | 0 | 3 | 9 | 91.4 | 7.9 |
| 稻纵卷叶螟C. medinalis | 0 | 131 | 1 | 8 | 93.6 | 11.5 |
| 二化螟C. suppressalis | 5 | 0 | 125 | 10 | 89.3 | 6.0 |
| 非目标大型昆虫Big non-target | 6 | 17 | 4 | 113 | 80.7 | 19.3 |
| 平均值 Average value | 91.4 | 8.6 | ||||
| 昆虫种类 Insect species | 分到各种昆虫中的样本数 Number of samples divided into different insects | 识别率 Identification rate /% | 误检率 False detection rate /% | |||
|---|---|---|---|---|---|---|
| 白背飞虱 Sogatella furcifera | 褐飞虱 Nilaparvata lugens | 小型非目标昆虫 Small non-target insects | ||||
| 白背飞虱Sogatella furcifera | 207 | 5 | 3 | 96.3 | 5.1 | |
| 褐飞虱Nilaparvata lugens | 5 | 201 | 9 | 93.5 | 4.7 | |
| 小型非目标昆虫Small non-target | 6 | 5 | 204 | 94.9 | 5.6 | |
| 平均值Average value | 94.9 | 4.9 | ||||
表7 在最优图像特征参数和训练样本比例下的水稻小型害虫识别结果
Table 7 Identification results of small rice pests with optimal image features and training sample proportion.
| 昆虫种类 Insect species | 分到各种昆虫中的样本数 Number of samples divided into different insects | 识别率 Identification rate /% | 误检率 False detection rate /% | |||
|---|---|---|---|---|---|---|
| 白背飞虱 Sogatella furcifera | 褐飞虱 Nilaparvata lugens | 小型非目标昆虫 Small non-target insects | ||||
| 白背飞虱Sogatella furcifera | 207 | 5 | 3 | 96.3 | 5.1 | |
| 褐飞虱Nilaparvata lugens | 5 | 201 | 9 | 93.5 | 4.7 | |
| 小型非目标昆虫Small non-target | 6 | 5 | 204 | 94.9 | 5.6 | |
| 平均值Average value | 94.9 | 4.9 | ||||
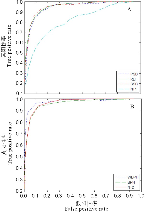
图2 支持向量机分类器的受试者工作特征曲线 A–水稻大型害虫; B–水稻小型害虫。PSB–大螟;RLF–稻纵卷叶螟;SSB–二化螟;WBPH–白背飞虱;BPH–褐飞虱。NT1–大型非目标昆虫;NT2–小型非目标昆虫。
Fig. 2. Receiver operating characteristic curve of support vector machine classifiers. A, Big pests; B, Small pests. PSB, S. inferens; RLF, C. medinalis; SSB, C. suppressalis. WBPH, S. furcifera; BPH, N. lugens. NT1, Big non-target pest; NT2, Small non-target pest.
| [1] | 刘芳, 沈佐锐, 张建伟, 杨红珍. 基于颜色特征的昆虫自动鉴定方法. 应用昆虫学报, 2008, 45(1): 150-153. |
| Liu F, Shen Z R, Zhang J W, Yang H Z.Automatic insect identification based on color characters.Chin Bull Entomol, 2008, 45(1): 150-153. (in Chinese with English abstract) | |
| [2] | 于新文, 沈佐锐, 高灵旺, 李志红. 昆虫图像几何形状特征的提取技术研究. 中国农业大学学报, 2003, 8(3): 47-50. |
| Yu X W, Shen Z R, Gao L W, Li Z H.Feature measuring and extraction for digital image of insects.J China Agric Univ, 2003, 8(3): 47-50. (in Chinese with English abstract) | |
| [3] | 张红涛, 胡玉霞, 赵明茜, 邱道尹, 张孝远, 张恒源. 田间害虫图像识别中的特征提取与分类器设计研究. 河南农业科学, 2008, 37(9): 73-75. |
| Zhang H T, Hu Y X, Zhao M Q, Qiu D Y, Zhang X Y, Zhang H Y.Feature Extraction and classification in the image recognition for agricultural pests.J Henan Agric Sci, 2008, 37(9): 73-75. (in Chinese) | |
| [4] | 赵三琴, 丁为民, 刘德营. 基于傅里叶描述子的稻飞虱形状识别. 农业机械学报, 2009, 40(8): 181-184. |
| Zhao S Q, Ding W M, Liu D Y.Rice hopper shape recognition based on Furier descriptors.Trans Chin Soc Agric Mach, 2009, 40(8): 181-184. (in Chinese with English abstract) | |
| [5] | Zhao J, Cheng X P.Field pest identification by an improved Gabor texture segmentation scheme.New Zeal J Agric Res, 2007, 50(5): 719-723. |
| [6] | Larios N, Deng H, Zhang W, Sarpola M, Yuen J, Paasch R, Moldenke A, Lytle D.A, Correa S.R, Mortensen E, Shapiro L G, Dietterich T G. Automated insect identification through concatenated histograms of local appearance features: Feature vector generation and region detection for deformable objects.Mach Vision & Appl, 2008, 19(2): 105-123. |
| [7] | Wen C, Guyer D E, Li W.Automated insect classification with combined Global and local features for orchard management//An ASABE Meeting Presentation, June 21-24, 2009. Reno, Nevada: 2009. |
| [8] | 李凡. 基于数字图像的蝴蝶种类自动识别研究. 北京:北京林业大学, 2015. |
| Li F.The Research on Automatic Identification of Butterfly Species Based on the Digital Image. Beijing: Beijing Forestry University, 2015. (in Chinese with English abstract) | |
| [9] | 胡永强, 宋良图, 张洁, 谢成军, 李瑞. 基于稀疏表示的多特征融合害虫图像识别. 模式识别与人工智能, 2014, 27(11): 985-992. |
| Hu Y Q, Song L T, Zhang J, Xie C J, Li R.Pest Image recognition of multi-feature fusion based on sparse representation. Pat Rec & Art Int, 2014, 27(11): 985-992. (in Chinese with English abstract) | |
| [10] | Liu Z, Gao J, Yang G, Zhang H, He Y.Localization and classification of paddy field pests using a saliency map and deep convolutional neural network.Sci Rep, 2016, 6: 20410. |
| [11] | 杨国国, 鲍一丹, 刘子毅. 基于图像显著性分析与卷积神经网络的茶园害虫定位与识别. 农业工程学报, 2017, 33(6): 156-162. |
| Yang G G, Bao Y D, Liu Z Y.Location and recognition of pests in tea plantation based on image saliency analysis and convolutional neural network.Trans Chin Soc Agric Eng, 2017, 33(6): 156-162. (in Chinese with English abstract) | |
| [12] | Wen C, Wu D, Hu H, Pan W.Pose estimation-dependent identification method for field moth images using deep learning architecture.Bios Eng, 2015, 136: 117-128. |
| [13] | Lytle D A, Martínezmuñoz G, Zhang W, Lorios N, Shaprio L.Automated processing and identification of benthic invertebrate samples. J North Am Benthol Soc, 2010, 29(3): 867-874. |
| [14] | 冼鼎翔, 姚青, 杨保军, 罗举, 谭畅, 张超, 徐一成. 基于图像的水稻灯诱害虫自动识别技术的研究. 中国水稻科学, 2015, 29(3): 299-304. |
| Xian D X, Yao Q, Yang B J, Luo J, Tan C, Zhang C, Xu Y C.Automatic identification of rice light-trapped pest based on image.Chin J Rice Sci, 2015, 29(3): 299-304. (in Chinese with English abstract) | |
| [15] | 刘鹏宇. 基于内容的图像特征提取算法的研究. 长春: 吉林大学, 2004. |
| Liu P Y.Study on the algorithms for content-based image feature extraction. Changchun: Jilin University, 2004. (in Chinese with English abstract) | |
| [16] | 梁勇. 智能虫情测报灯在水稻害虫测报上的应用效果. 广西植保, 2009, 22(1): 21-23. |
| Liang Y.Application effect of intelligent insect report lamp on rice pest monitoring.Guangxi Plant Protect, 2009, 22(1): 21-23. (in Chinese) | |
| [17] | 张新明, 张爱丽, 郑延斌, 孙印杰, 李双. 改进的最大熵阈值分割及其快速实现. 计算机科学, 2011, 38(8): 278-283. |
| Zhang X M, Zhang A L, Zheng Y B, Sun Y J, Li S.Improved two-dimensional maximum entropy image thresholding and its fast recursive realization.Comput Sci, 2011, 38(8): 278-283. (in Chinese with English abstract) | |
| [18] | 苏煜, 山世光, 陈熙霖, 高文. 基于全局和局部特征集成的人脸识别. 软件学报, 2010, 21(8): 1849-1862. |
| Su Y, Shan S G, Chen X L, Gao W.Integration of global and local feature for face recognition. J Softw, 2010, 21(8): 1849-1862. (in Chinese with English abstract) | |
| [19] | 彭晶. 基于全局特征点提取的指纹识别方法研究. 长春: 吉林大学, 2005. |
| Peng J.The study of fingerprint identification based on the deltas and cores. Changchun: Jilin University, 2005. (in Chinese with English abstract) | |
| [20] | Liu B, Wu H, Su W, Sun J.Sector-ring HOG for rotation-invariant human detection.Signal Proc Image Comm, 2017, 54(C): 1-10. |
| [21] | Zhu J X, Su G D, Li Y C.Facial expression recognition based on gabor feature and adaboost.Mod Sci Instrum, 2011, 17(8): 993-998. |
| [22] | Lei Y M, Zhao X M, Guo W D.Cirrhosis recognition of liver ultrasound images based on SVM and uniform LBP feature//2015 IEEE Advanced Information Technology, Electronic and Automation Control Conference (IAEAC), 19-20 December, 2015. Chongqing, China: IEEE, 2015: 382-387. |
| [23] | Olgun M, Onarcan A O, Sezer O, Koyuncu O.Wheat grain classification by using dense SIFT features with SVM classifier.Comput & Elec Agric, 2016, 122(C): 185-190. |
| [24] | Dlin S, Jiang Y T, Lin J J.Object Tracking Using a Particle Filter with SURF Feature.J Elec Sci & Technol, 2014, 8815(3): 339-344. |
| [25] | 王娟, 孔兵, 贾巧丽. 基于颜色特征的图像检索技术. 计算机系统应用, 2011, 20(7): 160-164. |
| Wang J, Kong B, Jia Q L.Color-Based Image Retrieval.Comut Sys Appl, 2011, 20(7): 160-164. (in Chinese with English abstract) | |
| [26] | 任国贞, 江涛. 基于灰度共生矩阵的纹理提取方法研究. 计算机应用与软件, 2014(11): 190-192. |
| Ren G Z, Jiang T.Study on glcm-based texture extraction methods.Comput Appl Softw, 2014(11): 190-192. (in Chinese with English abstract) | |
| [27] | 郑淑丹, 郑江华, 石明辉, 郭宝林, 森巴提, 孙志群, 贾晓光, 李晓瑾. 基于分形和灰度共生矩阵纹理特征的种植型药用植物遥感分类. 遥感学报, 2014, 18(4): 868-886. |
| Zheng S D, Zheng J H, Shi M H, Guo B L, Sen B T, Sun Z Q, Jia X G, Li X J.Classification of cultivated Chinese medicinal plants based on fractal theory and gray level co-occurrence matrix textures.J Remot Sens, 2014, 18(4): 868-886. (in Chinese with English abstract) | |
| [28] | 杨舒, 王玉德. 基于Contourlet变换和Hu不变矩的图像检索算法. 红外与激光工程, 2014, 43(1): 306-310. |
| Yang S, Wang Y D.Image retrieval algorithm based on contourlet transform and Hu invariant moment.Infrar Laser Eng, 2014, 43(1): 306-310. (in Chinese with English abstract) | |
| [29] | 张华. 基于形态特征提取的图像匹配搜索技术研究. 物联网技术, 2013(11): 16-18. |
| Zhang H.Research on image matching search technology based on morphology characterization extraction.Internet Things Technol, 2013(11): 16-18. (in Chinese) | |
| [30] | Arivazhagan S, Ganesan L, Priyal S P.Texture classification using Gabor wavelets based rotation invariant features.Patt Recog Lett, 2006, 27(16): 1976-1982. |
| [31] | 王昊京, 王建立, 王鸣浩, 阴玉梅. 采用双线性插值收缩的图像修复方法. 光学精密工程, 2010, 18(5): 1234-1241. |
| Wang H J, Wang J L, Wang M H, Yin Y M.Efficient image inpainting based on bilinear interpolation downscaling.Optics Prec Eng, 2010, 18(5): 1234-1241. (in Chinese with English abstract) | |
| [32] | Ojala T, Pietikainen M, Maenpaa T.Multiresolution gray-scale and rotation invariant texture classification with local binary patterns// IEEE Transactions on Pattern Analysis and Machine Intelligence.Springer Berlin Heidelberg, 2000: 404-420. |
| [33] | 曾凡涛. 基于改进LBP特征的图像理解. 长春: 吉林大学, 2014. |
| Zeng F T.Image Understanding Based on Improved LBP Methodology. Changchun: Jilin University, 2014. (in Chinese with English abstract) | |
| [34] | 陈振华, 余永权, 张瑞. 模糊模式识别的几种基本模型研究. 计算机技术与发展, 2010, 20(9): 32-35. |
| Chen Z H, Yu Y Q, Zhang R.Research on several models of fuzzy pattern recognition problems.Comput Technol Dev, 2010, 20(9): 32-35. (in Chinese with English abstract) | |
| [35] | 王双成, 杜瑞杰, 刘颖. 连续属性完全贝叶斯分类器的学习与优化. 计算机学报, 2012, 35(10): 2129-2138. |
| Wang S C, Du R J, Liu Y.The learning and optimization of full bayes classifiers with continuous attributes. Chin J Comput, 2012, 35(10): 2129-2138. (in Chinese with English abstract) | |
| [36] | 吴晓军, 邹广华. 基于边缘几何特征的高性能模板匹配算法. 仪器仪表学报, 2013, 34(7): 23-30. |
| Wu X J, Zou G H.High performance template matching algorithm based on edge geometry features.Chin J Sci Instrum, 2013, 34(7): 23-30. (in Chinese with English abstract) | |
| [37] | 罗昕. 基于Fisher鉴别分析对支持向量机算法进行优化的研究. 昆明: 云南大学, 2016. |
| Luo X.Research on the optimization of support vector machine algorithm based on Fisher discriminant analysis. Kunming: Yunnan University, 2016. (in Chinese with English abstract) | |
| [38] | 任俊, 李志能. 支持向量机在字符分类识别中的应用. 浙江大学学报: 工学版, 2005, 39(8):1136-1141. |
| Ren J, Li Z N.Application of support vector machines in classification and recognition of characters.J Zhejiang Univ: Eng Sci, 2005, 39(8): 1136-1141. (in Chinese with English abstract) | |
| [39] | 崔萌, 张春雷,. LIBSVM, LIBLINEAR, SVMmuticlass比较研究. 电子技术, 2015(6): 1-5. |
| Cui M, Zhang C L.The comparison study of LIBSVM, LIBLINEAR and SVMmulticlass.Elec Technol, 2015 (6):1-5. (in Chinese) | |
| [40] | 邓江洪, 赵领. 多特征筛选与支持向量机相融合的图像分类模型. 吉林大学学报:理学版, 2016, 54(4): 862-866. |
| Deng J H, Zhao L.Image Classification model with multiple feature selection and support vector machine.J Jilin Univ: Sci Ed, 2016, 54(4): 862-866. (in Chinese with English abstract) | |
| [41] | 沙睿. 基于多特征融合的图像相似性研究. 南京: 南京大学, 2011. |
| Sha R.A Study of image Similarity based on multi-features. Nanjing: Nanjing University, 2011. (in Chinese with English abstract) |
| [1] | 石晶晶, 刘占宇 张莉丽, 周 湾, 黄敬峰 . 基于支持向量机(SVM)的稻纵卷叶螟危害水稻高光谱遥感识别[J]. 中国水稻科学, 2009, 23(3): 331-334 . |
| 阅读次数 | ||||||
|
全文 |
|
|||||
|
摘要 |
|
|||||